2022年, 第43卷, 第11期 刊出日期:2022-11-05
  

  • 全选
    |
    结构抗震及减隔震专题
  • 任逸飞, 何文福, 徐金明, 冯祎鑫
    建筑结构学报. 2022, 43(11): 1-10. https://doi.org/10.14006/j.jzjgxb.2021.0264
    摘要 ( ) PDF全文 ( )   可视化   收藏
    判别高层结构所处的摇摆状态是分析地震作用时隔震层是否处于安全状态以及结构是否处于稳定状态的重要基础。根据隔震层橡胶支座的竖向变形计算结果,将高层隔震结构的摇摆状态分为未提离、提离、摇摆、倾覆状态,提出了基于简化刚体模型的提离摇摆状态分类方法。通过分析矩形激励下竖向屈重比、水平屈重比、竖向周期、水平周期、高宽比、激励幅值系数、激励频率比等参数对高层隔震结构摇摆响应的影响,得到了高层隔震结构未提离、提离、摇摆的界限谱以及主要参数对界限谱的影响规律,进一步分析了高层隔震结构倾覆状态与激励幅值、频率比之间的关系。研究结果表明:摇摆响应随竖向屈重比、水平屈重比、激励频率比的增大而减小,其中水平屈重比的影响最大;摇摆响应随激励幅值系数、竖向周期、水平周期及高宽比的增大而增大,摇摆响应较小时高宽比的影响最大,摇摆响应较大时竖向周期的影响最大,控制摇摆响应的最有利措施是增大水平屈重比、减小高宽比和竖向周期;对提离界限影响程度从大到小的顺序为高宽比、水平屈重比、竖向周期、竖向屈重比、水平周期,对摇摆界限影响程度从大到小依次为竖向周期、水平屈重比、高宽比、水平周期、竖向屈重比;结构倾覆与激励幅值系数、激励输入时间呈正相关。
  • 左浩朋, 尚庆学, 周博威, 王涛,
    建筑结构学报. 2022, 43(11): 11-19. https://doi.org/10.14006/j.jzjgxb.2021.0123
    摘要 ( ) PDF全文 ( )   可视化   收藏
    为了研究摩擦摆隔震高层结构的抗震性能,提出了摩擦摆隔震设计的具体流程,并设计了一栋12层的摩擦摆隔震框架-剪力墙结构。为考察其隔震效果,制作了相应的缩尺模型并进行振动台试验。基于试验结果,研究上部结构的楼层响应和摩擦摆隔震支座的位移响应,对比分析剪力墙下摩擦摆及框架柱下摩擦摆滞回性能的区别。研究结果表明:通过摩擦摆隔震,该框架-剪力墙结构实现了9度多遇地震弹性,设防地震、罕遇地震甚至超罕遇地震可修;结构的楼层响应显著降低,摩擦摆完全起滑后,地震强度越大,摩擦摆的隔震效果越好,且摩擦摆隔震支座具有良好的自复位能力;在9度罕遇地震作用下,剪力墙下摩擦摆发生了竖向提离抬升,对摩擦摆的滞回性能产生影响。
  • 周泽宇, 贺修樟, 陈以一,
    建筑结构学报. 2022, 43(11): 20-31. https://doi.org/10.14006/j.jzjgxb.2021.0250
    摘要 ( ) PDF全文 ( )   可视化   收藏
    为实现钢框架结构的震后快速修复,提出了一种配置可更换弧形角撑和高强钢构件的抗弯钢框架结构。在目标水准地震作用下,结构塑性变形集中在弧形角撑上,高强钢构件基本保持弹性以降低震后残余变形,震后可通过更换弧形角撑快速修复结构。为研究所提出结构体系的抗震性能以及更换弧形角撑的可操作性,设计了1个带混凝土楼板的1/2缩尺模型进行振动台试验。试验结果表明:该模型实现了预定的损伤控制机制,能够满足GB 50011—2010《建筑抗震设计规范》的最大层间位移角限值要求;由于该模型在超罕遇水准的地震作用下可以保持较大的屈服后刚度,因此其残余层间位移角很小(不超过0.028%),震后弧形角撑易更换;更换弧形角撑后,模型得到了一定程度的修复,但混凝土楼板开裂使得模型刚度未能完全恢复;在重复强震作用下,模型的最大层间位移角未发生显著变化,弧形角撑耗能稳定,但部分弧形角撑的最大变形有所增大,损伤在模型各局部呈现出不均匀发展的趋势。
  • 娄宇, 温凌燕, 李伟, 聂鑫, 王安彬
    建筑结构学报. 2022, 43(11): 32-40. https://doi.org/10.14006/j.jzjgxb.2021.0327
    摘要 ( ) PDF全文 ( )   可视化   收藏
    为实现钢结构住宅中不凸梁凸柱的建筑效果,采用小截面钢构件组成的钢框架-K形支撑结构体系,通过K形钢支撑的设置,有效减小了构件截面尺寸。为研究钢框架-K形支撑结构体系的抗震性能,选取其中典型的抗侧力单元,制作足尺模型进行拟静力试验,并采用ABAQUS软件对其抗震性能进行有限元分析。研究结果表明:该结构体系可实现多遇地震弹性、罕遇地震不倒的设计目标,当结构位移角达1/30时仍可保持承载能力,表现出良好的抗震性能;按照斜向支撑、竖杆、框架梁柱的顺序依次屈服,斜向支撑可有效保护主体框架;位移延性系数为10.0,滞回曲线饱满;当位移角为1/50时,等效阻尼比为18.9%,耗能能力优异。
  • 陈才华, 王翠坤, 潘玉华, 郝玮, 张宏, 任重翠, 熊羽豪,
    建筑结构学报. 2022, 43(11): 41-50. https://doi.org/10.14006/j.jzjgxb.2021.0364
    摘要 ( ) PDF全文 ( )   可视化   收藏
    在已有的动力弹塑性时程分析和模型振动台试验中发现,受损伤程度和损伤部位的影响,结构各阶振型对应的周期变化(刚度退化)不同。为此,基于动力作用下结构刚度退化,提出了框架-核心筒结构整体抗震性能的评价指标——刚度退化系数及其计算方法,并通过已完成的两个实际工程缩尺模型振动台试验进行验证。试验和计算结果吻合较好,所得的刚度退化系数变化规律一致。利用刚度退化系数指标对5个框架-核心筒模型进行抗震性能评价和比较,结果表明:框架-核心筒结构模型的刚度退化系数随着峰值加速度的增加而增大;在设防烈度及超设防烈度的罕遇地震作用下,单重体系模型的刚度退化系数明显高于双重体系模型,且相同峰值加速度下框剪比越大的模型刚度退化系数越低;双重体系的抗震性能优于单重体系,且框剪比越大的模型,其整体延性和抗震韧性更好。刚度退化系数指标概念明确、计算简便,评价结论与倒塌概率、倒塌储备系数等指标一致,可作为框架-核心筒结构整体抗震性能的评价指标。
  • 章锦洋, 吴京, 谢鲁齐, 李春雨, 朱云青
    建筑结构学报. 2022, 43(11): 51-62. https://doi.org/10.14006/j.jzjgxb.2021.0026
    摘要 ( ) PDF全文 ( )   可视化   收藏
    为使装配式混凝土结构在强震作用下达到损伤集中的效果,增强装配式混凝土结构的震后可修复性,提出一种可更换耗能连接组件(REDC)的装配式混凝土柱脚。设计并制作了1个足尺REDC装配式混凝土柱脚,通过改变柱设计轴压比、REDC核心耗能钢板厚度等参数,开展了4个工况下的拟静力试验。研究结果表明:加载过程中柱脚始终表现出稳定的滞回特性和较高的延性,低轴压比(n=0.3)下呈饱满的梭形滞回环,高轴压比(n=0.8)下滞回环有一定捏缩;除高轴压比下柱底钢套筒局部区域竖向压应变接近屈服应变外,柱脚始终保持完好,塑性变形集中于REDC核心耗能钢板内;混凝土柱身处于微损伤状态,表现为柱脚卸载至初始位置后可闭合的水平向弯曲裂缝;核心耗能钢板断裂前,在5%水平位移角下经历了至少25次加载循环,表现出良好的低周疲劳性能;核心耗能钢板的失效模式为疲劳断裂,断裂位置均位于屈服段中部或屈服段与过渡段交界处。REDC核心耗能钢板的实测变形量与理论计算结果基本一致,验证了理论分析的准确性,可用于该种装配式混凝土柱脚设计。
  • 杜颜胜, 李佳岐, 陈志华, 高秋利, 甄志禄, 刘永奇, 陈靖昕
    建筑结构学报. 2022, 43(11): 63-73. https://doi.org/10.14006/j.jzjgxb.2021.0101
    摘要 ( ) PDF全文 ( )   可视化   收藏
    为研究矩形截面钢管尾矿砂再生混凝土柱的抗震性能,设计并制作了6个该类柱试件并对其进行拟静力试验,变化参数为再生粗骨料取代率(0%,50%,100%)和轴压比(0.3,0.5)。观察了矩形截面钢管尾矿砂再生混凝土柱变形和破坏形态,分析了其滞回曲线、骨架曲线、承载力退化、刚度退化、延性及耗能能力等。采用ABAQUS软件对矩形截面钢管尾矿砂再生混凝土柱抗震性能进行有限元分析,并与试验结果进行对比,验证有限元模型的合理性。试验研究及数值分析结果表明:矩形截面钢管尾矿砂再生混凝土柱变形过程及破坏形态与普通钢管混凝土柱相似,表现为柱脚的鼓曲变形;轴压比为0.3时,再生骨料取代率为50%和100%的柱峰值荷载较取代率为0%的柱分别降低8.3%和13.1%;轴压比为0.5时峰值荷载较轴压比为0.3时降低约9%;平均位移延性系数接近2.7,说明其具有良好的变形能力;矩形截面钢管尾矿砂再生混凝土柱具有良好的抗震性能。
  • 张勤, 李振, 顾祥林, 贡金鑫
    建筑结构学报. 2022, 43(11): 74-86. https://doi.org/10.14006/j.jzjgxb.2021.0341
    摘要 ( ) PDF全文 ( )   可视化   收藏
    为研究不同循环次数地震作用下弯剪破坏型钢筋混凝土(RC)柱的抗震性能,对2组(8根)不同剪跨比的RC圆柱进行了不同循环次数的拟静力试验。研究了不同加载循环次数作用下弯剪破坏RC圆柱的变形性能和滞回特性,基于试验结果提出了不同加载循环次数下弯剪破坏RC圆柱的荷载-变形关系计算模型和等效阻尼比模型,并给出了考虑地震作用循环次数影响的弯剪破坏单柱墩结构的抗震性能分析方法。结果表明:加载循环次数越多,RC柱剪切效应越显著,水平承载能力和变形能力降低越明显,这一循环退化效应引起的RC柱抗震性能下降现象应在分析中予以考虑;提出的不同加载循环次数下弯剪破坏RC圆柱的荷载-变形关系模型和等效阻尼比模型计算值与试验值吻合较好,可用于考虑不同循环次数影响的地震作用下弯剪破坏RC圆柱荷载-变形关系建立和抗震性能评估。
  • 吴琛, 邓芬, 陈柯丹, 王宗成
    建筑结构学报. 2022, 43(11): 87-94. https://doi.org/10.14006/j.jzjgxb.2020.0767
    摘要 ( ) PDF全文 ( )   可视化   收藏
    为适应型钢混凝土(steel reinforced concrete, SRC)框架结构在边柱、角柱部位不均匀受力的特征,并简化施工、避免大量型钢开孔和钢筋焊接,提出非对称十字形配钢SRC矩形截面柱构造。开展7根非对称十字形配钢SRC矩形截面柱和1根对称十字形配钢SRC矩形截面柱的低周往复加载试验,分析配钢形式、剪跨比、轴压比和体积配箍率等主要设计参数对柱抗震性能的影响。结果表明:不对称配钢形式使SRC柱的正、负向承载力不对称,正向加载(型钢内缩侧受压)比负向加载先达到峰值荷载;在相同含钢率下,非对称十字形配钢SRC矩形截面柱可达到与对称配钢形式相近的抗震性能;剪跨比的增大使柱的刚度衰减率降低,延性增加,耗能能力提高;增大轴压比,柱刚度退化加剧,延性降低,耗能能力减弱;提高体积配箍率将改善柱的耗能能力和延性。
  • 何子奇, 胡盛文, 李彬洋, 杨远龙, 成宇,
    建筑结构学报. 2022, 43(11): 95-106. https://doi.org/10.14006/j.jzjgxb.2021.0225
    摘要 ( ) PDF全文 ( )   可视化   收藏
    为了研究十字形钢管混凝土柱-H形钢梁框架中节点的抗震性能和破坏机理,进行了6个缩尺比为1∶2的节点拟静力试验。观察节点的损伤过程及破坏模式,分析柱端荷载-位移滞回曲线、节点核心区剪力-剪切变形曲线、层间位移角组成、耗能能力及应力分布。采用ABAQUS软件建立钢管混凝土异形柱-H形钢梁框架节点的有限元分析模型,分析结果与试验结果吻合良好,并对节点核心区受剪承载力和节点刚度进行参数分析。研究结果表明:节点的滞回曲线饱满,延性系数介于2.63~4.45之间,等效黏滞阻尼系数介于0.202~0.241之间,节点域的变形和耗能能力较强;建立的有限元分析模型可用于模拟节点的抗震性能,有限元参数分析结果表明增加节点区钢管厚度可以明显提高核心区受剪承载力,增加竖向肋板尺寸可以有效提高节点刚度。为保证竖向肋板节点达到刚性节点要求,建议柱钢板宽厚比不大于30;竖向肋板翼缘外高度、翼缘内高度以及竖向肋板与梁翼缘连接长度分别不应小于梁翼缘宽度的30%、15%和150%;竖向肋板厚度不应小于梁翼缘厚度。
  • 潘超, 刘媛, 张瑞甫, 逯静洲
    建筑结构学报. 2022, 43(11): 107-116. https://doi.org/10.14006/j.jzjgxb.2021.0360
    摘要 ( ) PDF全文 ( )   可视化   收藏
    惯容减震系统是具备惯性与耗能增效特性的结构吸振减震装置。惯容的增效特性可能会产生较大的惯性控制力,导致实际应用时制造安装成本较高。为此,针对现有惯容减震系统设计时的成本控制考虑不足及计算繁琐问题,以结构性能、成本(控制力)同时作为直接的设计控制目标,从随机响应角度推导简洁实用的参数设计公式。在惯容减震单自由度结构随机振动响应解析解的基础上,研究结构响应和控制力的变化规律,发现其性能优化和成本优化的平衡点。根据响应极值条件,推导了白噪声激励下惯容减震系统考虑“性能-成本”控制原则的关键参数计算公式。通过算例设计分析,验证了设计公式的正确性和设计过程的简便性,且采用文中所推导解析公式进行惯容减震系统设计,可在保证性能需求的同时,避免过大的控制成本;公式设计结果能适用于不同类型地震激励和考虑固有阻尼比的情况。
  • 付国, 何斌, 吴守军
    建筑结构学报. 2022, 43(11): 117-125. https://doi.org/10.14006/j.jzjgxb.2021.0151
    摘要 ( ) PDF全文 ( )   可视化   收藏
    填充墙框架结构与纯框架结构抗震性能差异显著,建立填充墙框架结构的破坏准则,有助于揭示填充墙破坏对结构整体性能的影响规律,阐明其性能退化机理。为此,对14组共59榀不开洞填充墙框架模型的变形能力和承载力对结构性能退化的影响规律进行研究,得到破坏过程中框架柱、填充墙及整体性能退化之间的量化关系,进而提出不开洞填充墙框架的延性破坏准则和性能评价标准。研究结果表明:填充墙框架模型对应延性准则的破坏指数平均值在0.724~0.928之间,延性准则能够实现填充墙框架结构倒塌破坏的量化表征;综合6组19榀填充墙框架的试验现象、性能退化特点和破坏指数统计结果,建议中等破坏和严重破坏临界点破坏指数分别取0.1和0.4,延性准则可用于填充墙框架结构的抗震性能研究和倒塌破坏评估。
  • 竹木结构
  • 肖岩, 王睿, 闻婕, 李智, 孔佑博宏, 王俊松
    建筑结构学报. 2022, 43(11): 126-139. https://doi.org/10.14006/j.jzjgxb.2021.0306
    摘要 ( ) PDF全文 ( )   可视化   收藏
    正交胶合木(CLT)结构因其具有施工便捷、结构性能优良和易于维护保养等优点在欧洲和北美等地获得了广泛关注,并越来越普遍地应用于多层甚至高层建筑之中。我国有丰富的竹资源,同时竹材具有良好的力学性能、可加工性和耐久性。在可工业化生产的结构用胶合竹(Glubam)基础上,作者借鉴CLT的概念进一步提出了正交或交错胶合竹木(简称CLBT或CLTB)。在综述国内外学者在正交胶合木结构的力学性能、连接方式和抗震性能等方面的研究成果基础上,介绍正交胶合竹木的力学与物理性能试验结果,包括正交胶合竹木板梁的弯曲试验、柱的轴心受压试验以及墙体的热学和声学性能试验等,提出基于高阶剪切变形理论的解析模型用以估算CLBT梁、柱在相应荷载作用下的变形量,并通过试验验证该模型的准确性。相关初步研究结果表明:正交胶合竹木CLBT有良好的力学性能和与正交胶合木相当的保温隔热及隔声性能;采用国产速生杨木与Glubam胶合竹组坯制备的正交胶合竹木梁板的力学性能不逊于采用进口木材的同类竹木梁板。因此,正交胶合竹木的研发与应用将有助于进一步合理利用我国的速生林资源和丰富的竹资源;竹木等生物质材料在建筑中的应用对于实现碳中和具有重要的促进意义。
  • 薛建阳, 任国旗, 袁振, 王鹏飞
    建筑结构学报. 2022, 43(11): 140-150. https://doi.org/10.14006/j.jzjgxb.2021.0370
    摘要 ( ) PDF全文 ( )   可视化   收藏
    为研究胶合木框架及其填充正交胶合木(CLT)剪力墙板后结构的抗震性能,按照1∶1.5的缩尺比,设计并制作了1个单层单跨胶合木纯框架试件和4个具有不同设计参数的单层单跨胶合木框架-CLT剪力墙板试件,对其进行低周往复加载试验,得到了5个试件的破坏形态、荷载-位移滞回特性、刚度退化、耗能和变形能力等抗震性能指标,分析了胶合木框架与CLT剪力墙板的抗侧协同工作机理。结果表明:胶合木纯框架侧向变形较大,节点区出现明显的剪切裂缝,梁端节点破坏程度明显大于柱脚节点。填充CLT剪力墙板后胶合木框架的抗侧承载力得到较大幅度提高,框架节点的破坏程度得到显著改善,结构的耗能能力明显增强;CLT剪力墙板中开设的洞口类型及尺寸对其破坏方式和破坏程度产生影响。增设门洞、窗洞和无洞口CLT剪力墙板试件较纯框架试件的弹性抗侧刚度分别提高966%、1147%和1310%;随着CLT剪力墙板跨高比的增加,试件的承载能力和刚度均有一定的提升。填充CLT剪力墙板后胶合木框架的弹塑性层间位移角介于0.028~0.044;从加载开始至试件破坏,CLT剪力墙板承担的侧向荷载超过50%。
  • 齐麟, 李子飞, 潘慧, 解镇州, 李苓通, 黄信
    建筑结构学报. 2022, 43(11): 151-157. https://doi.org/10.14006/j.jzjgxb.2021.0131
    摘要 ( ) PDF全文 ( )   可视化   收藏
    互承结构构件和节点形式简单统一,通过组装小尺寸构件即可实现大跨度结构。而木材易于加工,适用于互承结构。为此,提出一种格构式木构件,通过简单的榫卯连接,可组装为双层六边-三边形榫卯互承木结构。分别搭建了单、双层六边-三边形互承木结构试验模型,相比于单层榫卯互承木结构,双层榫卯互承木结构的强度、刚度有显著提升。采用通用有限元软件ABAQUS建立了双层六边-三边形榫卯互承木结构数值模型,并通过足尺试验验证了有限元模型的正确性;在竖向荷载作用下,格构式木构件中的最大弯曲应力出现在卯眼处弦杆与腹杆的连接位置,腹杆的设置很大程度上减小了卯眼与榫头位置的应力集中现象。根据六边-三边形互承网格的几何拓展规律,考察了单、双层六边-三边形榫卯互承木结构的拓展性,提出的双层六边-三边形榫卯互承木结构可通过二次拓展达到最大跨度,可应用于较大跨度的屋盖结构。
  • 田黎敏, 申国臣, 寇跃峰, 郝际平, 石宇
    建筑结构学报. 2022, 43(11): 158-167. https://doi.org/10.14006/j.jzjgxb.2021.0188
    摘要 ( ) PDF全文 ( )   可视化   收藏
    为研究影响圆竹抗压强度指标的因素及其预测方法,基于外径、壁厚、椭圆度、锥度、密度及含水率等多因素下毛竹抗压强度的统计数据,利用线性回归方法分析抗压强度与各影响因素的关系,继而对圆竹进行基于目标因素的抗压强度分级,最后建立多影响因素下的抗压强度非线性预测方法。研究结果表明:外径与壁厚具有相关性,可采用二次多项式函数表征;为避免因素间的相互影响,提出“分区间线性拟合法”;抗压强度与外径、壁厚、密度、含水率具有较强的相关性,与椭圆度、锥度的相关性较弱;分级后的抗压强度标准值与设计值兼顾了效率与安全水平,可应用于实际工程;转化模型最佳优化方法可实现竹材抗压强度在无损条件下的准确预测,可用于工程设计。
  • 杨娜, 王忠铖, 常鹏
    建筑结构学报. 2022, 43(11): 168-176. https://doi.org/10.14006/j.jzjgxb.2021.0199
    摘要 ( ) PDF全文 ( )   可视化   收藏
    藏青杨是藏式古建筑木结构的常用材料,但目前对该种材料的力学性质研究不足,尤其是藏式古建筑中的藏青杨旧材。为此,通过对锯解自一根典型藏式古建木结构旧梁的无疵试样进行力学测试,得到了藏青杨旧材的力学性质参数。研究表明:高宽比为1∶3试样的径向、弦向局部抗压强度较全截面抗压强度分别提升33.8%和64.2%;对于文中使用的小尺寸受拉试样,试样的锯解方式对抗拉性质影响较大;在考虑强重比的情况下,对于大多数藏式木结构构件,落叶松是更为合适的替换用材,而若仅需要对横纹径向受压构件进行替换时,红松则更合适。此外,通过试验得到的藏青杨旧材弹性常数也可作为藏式古建筑木结构仿真建模和有限元分析的基础。
  • 砌体结构
  • 张永群, 蒋利学, 王卓琳
    建筑结构学报. 2022, 43(11): 177-190. https://doi.org/10.14006/j.jzjgxb.2021.0181
    摘要 ( ) PDF全文 ( )   可视化   收藏
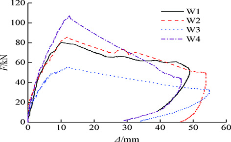
    针对历史建筑砌体结构在地震作用下容易发生砖墙平面外破坏与倒塌的问题,设计并制作了4片足尺带正交横墙的砖墙,采用气囊加载施加均布荷载进行了砖墙平面外静力试验,研究历史建筑砖墙平面外破坏模式和受力性能。在此基础上,通过理论分析研究了竖向荷载、墙厚、墙宽、楼(屋)盖形式和砂浆强度等因素的影响,提出了砖墙平面外承载力计算方法。研究结果表明:峰值荷载后砖墙平面外位移急剧增大,但开裂后仍能保持较大的平面外位移而不倒塌;与无楼板砖墙相比,木楼板和混凝土楼板砖墙的初始刚度分别提高了69.9%和68.8%,平面外承载力分别提高了44.5%和54.0%;竖向荷载、墙宽和墙厚对砖墙平面外承载力影响显著,楼板形式有一定的影响,而砂浆强度的影响较小;砖墙平面外承载力的理论结果与试验结果吻合较好。
  • 帅磊, 张敬书, 蒋坤, 刘乐,
    建筑结构学报. 2022, 43(11): 191-199. https://doi.org/10.14006/j.jzjgxb.2021.0104
    摘要 ( ) PDF全文 ( )   可视化   收藏
    为研究承重型横孔连锁混凝土砌块砌体的受压性能,设计了9组共54个砌体受压试件。砌体由BC240型、BH240型和BH290型三种块型砌块和三种强度砌筑砂浆制作,厚度分别为240、240、290mm,高度均为1030mm,高厚比分别为4.3、4.3、3.6。对砌体试件进行轴心受压试验,观察其裂缝发展规律和破坏特征,分析影响砌体受压性能的关键因素,得到了砌体的抗压强度。研究表明:承重型横孔连锁混凝土砌块砌体受压产生的横向拉应力和砂浆变形产生的附加横向拉应力导致砌块横肋破坏是砌体脆性破坏的主要原因,除了砂浆强度和砌块强度对砌体抗压强度影响较大外,竖肋占比和砌块构造也会影响砌体抗压强度;相近的砌块抗压强度和砂浆强度下,承重型横孔连锁混凝土砌块砌体的抗压强度低于竖孔砌块砌体的抗压强度;提出的抗压强度计算式可以较为准确地计算承重型横孔连锁混凝土砌块砌体的抗压强度。
  • 汪源, 黄辉, 高仕禹, 贾彬, 王汝恒, 邓传力
    建筑结构学报. 2022, 43(11): 200-208. https://doi.org/10.14006/j.jzjgxb.2020.0729
    摘要 ( ) PDF全文 ( )   可视化   收藏
    为量化不规则毛石墙体几何指标(块体形状、块体尺寸、水平和竖向接缝)对其抗震性能的影响,对3片1/2缩尺的传统藏式毛石墙体进行低周往复荷载试验,获得其典型破坏形态、滞回曲线、骨架曲线等抗震性能参数。基于藏式毛石墙体的不规则构造特征和块体形状,结合灰色理论建立不规则块体面积、周长等9个形状参数与墙体地震响应特征的关联度。研究结果表明:低周往复荷载下块材几何尺寸对墙体抗震性能的影响最大;大块石组砌的墙体抗剪刚度和承载力均较大,且墙体规则性和质量等级较好、抗震性能更优。确定了量化藏式毛石墙体抗震性能的几何指标的方法,可用于评价藏式毛石墙体的基本受力性能。
  • 基础理论与共性技术
  • 秦卫红, 惠卓, 张普, 张兆昌, 李明, 解鹏,
    建筑结构学报. 2022, 43(11): 209-220. https://doi.org/10.14006/j.jzjgxb.2021.0201
    摘要 ( ) PDF全文 ( )   可视化   收藏
    为了研究纵筋分别采用钢-纤维复合筋(SFCB)和玄武岩纤维复合筋(BFRP筋)的混凝土梁受剪性能,以普通钢筋混凝土梁作为对比,设计并开展了46根梁的受剪承载力试验,变化参数为剪跨比、纵筋配筋率和有无箍筋。试验结果表明:三种纵筋梁的受剪承载力均随着剪跨比的减小而增大;SFCB梁的受剪承载力随着纵筋配筋率的增大也增大。此外,提出广义销栓作用影响系数的概念,推导其计算式,用于评价复合纵筋和玄武岩纵筋对混凝土梁受剪承载力的贡献,并据此建立受剪承载力计算式。经与国内外共223组混凝土梁(纵筋为钢筋、BFRP筋和SFCB等)受剪试验数据对比,验证所提广义销栓作用受剪承载力计算式的正确性。在此基础上,采用与钢筋混凝土梁受剪承载力规范公式相近的安全度,建议了适用于纵筋为复合筋和玄武岩筋的混凝土梁受剪承载力设计公式。
  • 王彦博, 宋辞, 赵星源, 李国强,
    建筑结构学报. 2022, 43(11): 221-234. https://doi.org/10.14006/j.jzjgxb.2021.0203
    摘要 ( ) PDF全文 ( )   可视化   收藏
    为了研究高强钢管混凝土短柱的承载性能,进行了13个高强圆钢管混凝土短柱轴压试验,从破坏模式、荷载-位移关系、承载力、残余承载力和延性方面对内填普通强度混凝土和超高性能混凝土的短柱受力性能进行了对比分析,研究了钢管强度、混凝土强度以及径厚比对两种钢管混凝土短柱的轴压性能影响。试验结果表明:钢管混凝土短柱的破坏模式与等效径厚比相关,分为腰鼓型破坏和剪切型破坏两种;在相同钢管强度及径厚比条件下,内填普通强度混凝土的短柱较内填高性能混凝土的短柱具有更高的承载力提高系数和残余承载力比,以及更好的延性。同时,将试验承载力结果与我国GB 50936—2014《钢管混凝土结构技术规范》、欧洲规范BS EN 1994-1-1:2004和美国规范ANSI/AISC 360-16中相关公式计算结果进行对比,发现现行规范一定程度上高估了高强钢管超高性能混凝土短柱的承载力。结合已有试验统计数据与高强圆钢管混凝土短柱试验结果,对圆钢管高强及超高强混凝土短柱受压截面承载力计算公式进行修正,得到偏安全的短柱轴压承载力计算公式。
  • 周济, 陈宗平, 周春恒, 经承贵
    建筑结构学报. 2022, 43(11): 235-246. https://doi.org/10.14006/j.jzjgxb.2021.0281
    摘要 ( ) PDF全文 ( )   可视化   收藏
    为揭示钢-混凝土组合方形截面柱(简称“方柱”)内置螺旋筋的约束增强机理,明确螺旋筋间距、螺旋筋直径以及螺旋筋径宽比等设计参数对组合柱的约束增强效果的影响规律,设计并完成了30个螺旋筋约束增强钢-混凝土组合方柱(15个角钢试件、15个钢管试件)的轴心受压试验,观察了方柱的破坏过程,揭示了其约束增强机理,对比分析了各变化参数对方柱轴压性能指标的影响规律,提出了具有统一形式的组合柱轴压承载力计算公式。试验结果表明:内置螺旋筋可有效改善方形角钢骨架或钢管对核心混凝土存在的约束“拱效应”,提升组合柱的承载力和变形性能,但对轴压刚度无明显增益效果;增大螺旋筋的体积配筋率可进一步提高组合柱的轴压延性,且增大螺旋筋径宽比时单位体积用钢量获得的承载力性能提升效果最为显著,其次是减小螺旋筋间距,再次是增大螺旋筋直径;组合柱承载力的提高程度随着螺旋筋用量的增大有所减缓,且内置螺旋筋对角钢混凝土柱承载力的提高效果显著优于钢管混凝土柱;结合所提的约束模型和Mander约束混凝土理论建立的轴压承载力计算式可较精确地计算螺旋筋约束增强钢-混凝土组合方柱的轴压承载力。
  • 徐磊, 黄思远, 姜磊, 任青文
    建筑结构学报. 2022, 43(11): 247-254. https://doi.org/10.14006/j.jzjgxb.2021.0559
    摘要 ( ) PDF全文 ( )   可视化   收藏
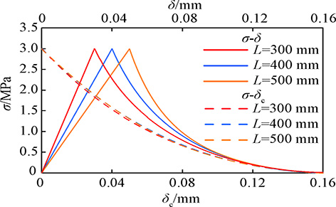
    为消除混凝土开裂使有限元分析结果对单元网格尺寸产生的依赖性,在基于局部本构模型的材料非线性有限元分析中,建立了混凝土局部损伤裂缝带模型。结果表明:该模型所采用的三参数幂函数型拉伸损伤演化方程,可满足不同单元网格尺寸下应力-应变关系调整的需要;在局部损伤本构模型中引入断裂能和与单元网格尺寸相关的裂缝带宽度,可在保证断裂能客观性的前提下依据初始应力-开裂应变关系推导不同单元网格尺寸下的应力-开裂应变关系;提出基于异步粒子群智能算法的优化反演方法,可实现在有限元分析中依据应力-开裂应变关系自适应,从而确定不同单元网格尺寸下的模型参数。在ABAQUS软件平台上采用所建立的模型对算例进行了数值模拟,验证了模型的有效性与程序编制的正确性。
  • 赵秋红, 董硕, 谢萌
    建筑结构学报. 2022, 43(11): 255-265. https://doi.org/10.14006/j.jzjgxb.2021.0246
    摘要 ( ) PDF全文 ( )   可视化   收藏
    为增强再生混凝土的抗压强度及延性,并进一步减少水泥制备造成的碳排放,采用粉煤灰/矿渣基地聚物100%取代再生混凝土中的普通硅酸盐水泥,并掺入钢纤维制备出钢纤维增强地聚物再生混凝土(SFGRC)。为研究其抗压性能,配制得到再生粗骨料取代率分别为0%、30%、50%、70%和100%,及钢纤维体积掺量分别为0%、0.5%、1.0%和1.5%的14组钢纤维增强地聚物再生混凝土试件,并进行单轴受压全曲线试验。结果表明:随着钢纤维的掺入,SFGRC的破坏模式由脆性向延性转变;立方体抗压强度、峰值应力对应应变、受压韧性及延性随钢纤维掺量的增加而增加;立方体抗压强度、弹性模量及受压韧性随再生粗骨料取代率的增加而降低,但峰值应力对应应变增加。引入钢纤维体积掺量和再生粗骨料取代率,对Carreira-Chu混凝土单轴受压本构模型的下降段进行修正,提出了适用于SFGRC的单轴受压本构模型,其计算结果与相应试验结果均吻合良好。
  • 高向玲, 彭红璐, 李杰
    建筑结构学报. 2022, 43(11): 266-274. https://doi.org/10.14006/j.jzjgxb.2021.0468
    摘要 ( ) PDF全文 ( )   可视化   收藏
    通过钢筋开槽内贴应变片的黏结滑移梁式试验,研究长锚钢筋屈服前后钢筋的应变及黏结应力分布特征,分析钢筋屈服后发生黏结退化的原因主要是钢筋直径的减小、钢筋的塑性伸长以及接触面的破坏加剧。根据试验结果,构建了在黏结性能中考虑钢筋应变对黏结应力和滑移影响的钢筋应变沿长度方向的分布函数;基于应变分布函数,建立了可量化的长锚钢筋黏结应力-滑移分析模型;基于能量等效原则,提出了钢筋弹性段和屈服段的平均黏结应力的确定方法,以及根据加载端应力和平均黏结应力确定钢筋弹性段的长度。基于此模型,可预测长锚钢筋屈服前弹性段以及屈服后弹性段和塑性段的应变、滑移、黏结应力沿长度方向的分布,并与既有试验结果进行了对比,验证了模型的有效性。该模型可用于罕遇地震作用下混凝土结构的力学性能分析。
  • 冉明明, 李国强, 孙飞飞, 王彦博
    建筑结构学报. 2022, 43(11): 275-286. https://doi.org/10.14006/j.jzjgxb.2021.0049
    摘要 ( ) PDF全文 ( )   可视化   收藏
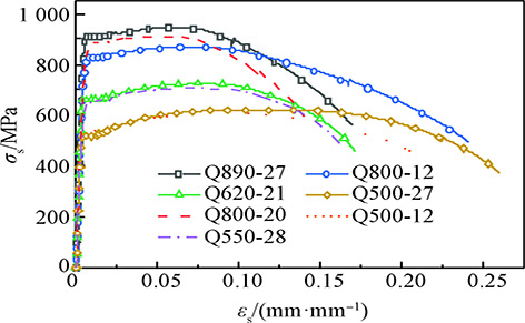
    针对高强度结构钢在焊接热循环作用下热影响区域可能产生软化现象,且高强钢焊接时将遇到焊材强度匹配的问题,基于高强钢对接焊缝的试验研究、数值分析和理论研究的结果,对考虑焊接软化和焊材强度匹配的强度模型进行简化,进而提出便于设计的简化公式。通过对试验数据、欧洲规范EC3预测值、强度模型预测值和简化公式预测值的对比,得出强度模型和简化公式对接头强度的预测值较为准确,而欧洲规范EC3高估了对接接头强度。为了进一步地将简化公式应用于工程设计,通过搜集和汇总焊缝加工尺寸、高强钢力学性能以及试件实际的工作性能等三方面的数据,对简化公式进行可靠度分析,当安全系数为4.5时,抗力分项系数取为0.84。对我国规范中高强钢对接焊缝连接的设计方法提出设计建议,即在对接焊缝受拉承载力计算式中考虑接头的综合强度,该综合强度取决于钢材强度、焊材强度、软化区情况和约束情况。
  • 涂桂刚, 陈晨, 崔昌禹, 汪江红
    建筑结构学报. 2022, 43(11): 287-293. https://doi.org/10.14006/j.jzjgxb.2021.0334
    摘要 ( ) PDF全文 ( )   可视化   收藏
    树状结构作为一种外形美观的支承结构,可与自由曲面网壳共同应用于大型公共建筑。采用动力松弛法确定树状支承结构与自由曲面网壳的合理形状时,在所得到的树状结构中常会出现低效构件。为此,提出了基于动力松弛的树状结构单元集群找形方法,该方法通过单元集群的方式,使模型中处于同一集群内的单元受力状态相同,这可以有效地避免树状结构与自由曲面网壳联合找形所得结构中出现低效构件。算例分析表明:通过设置单元集群,可以使找形最终所得到的结构中处于同一集群内的构件轴力分布均匀,从而保证各分支杆件在传力过程中均能起到积极作用;不同的单元集群方案对应着不同的找形结果,因此,单元集群也可作为调整结构形状的重要手段,在保证结构受力性能良好的基础上为结构设计提供多种方案。
  • 肖昭然, 王艳林, 赵宪强, 蒋敏敏, 赵文才
    建筑结构学报. 2022, 43(11): 294-302. https://doi.org/10.14006/j.jzjgxb.2020.0793
    摘要 ( ) PDF全文 ( )   可视化   收藏
    静压沉桩过程中沉桩阻力计算是桩机选型的关键,而目前对沉桩阻力计算方法尚未统一,且沉桩过程中引起的桩周侧压应力分布规律尚不明确。为此,通过室内模型试验模拟砂土地基中静压沉桩,研究沉桩速率和桩长对静压沉桩过程中沉桩阻力、沉桩端阻力、桩周侧压应力和桩体极限承载力的影响。结果表明:沉桩阻力、沉桩端阻力、桩周侧压应力和桩体极限承载力主要与桩长有关,沉桩端阻力与沉桩阻力之比随着沉桩深度增加而减小,但在沉桩深度为12倍桩径位置的沉桩端阻力占沉桩阻力的比例仍高达75%;桩周侧压应力随着埋深增加逐渐趋近于被动土压力,其主要与沉桩对土体挤密作用有关,且增加桩长和降低沉桩速率均可改善沉桩挤密作用;桩周侧压应力存在显著的“退化”现象,并与沉桩过程和桩体回弹有关。此外,基于太沙基极限承载力理论建立了沉桩阻力拟合计算式,并结合朗肯被动土压力理论,提出了桩周侧压应力计算的朗肯被动土压力修正计算公式,可用于静压桩沉桩完成后的桩周侧压应力计算。