2022年, 第43卷, 第07期 刊出日期:2022-07-05
  

  • 全选
    |
    结构抗震及减隔震专题
  • 平奕炜, 方成, 陈以一,
    建筑结构学报. 2022, 43(07): 1-10. https://doi.org/10.14006/j.jzjgxb.2020.0658
    摘要 ( ) PDF全文 ( )   可视化   收藏
    为研究自复位支撑中预应力筋发生断裂失效对结构整体抗震性能的影响,以形状记忆合金(SMA)拉索自复位支撑结构为研究对象。通过理论分析典型单核和双核自复位支撑的失效机理,发现双核自复位支撑在提升变形能力的同时存在瞬时连锁失效风险。为此,设计了不考虑预应力筋失效的理想自复位支撑框架、考虑预应力筋失效的单核、双核自复位支撑框架以及SMA自复位支撑框架等4个原型结构模型。考虑预应力筋断裂失效的随机性分布特征,在远场和近场地震作用下对框架进行非线性时程分析;进一步采用IDA方法对框架进行倒塌及残余变形易损性分析,并结合场地特征进行风险评估。分析结果表明:考虑预应力筋的断裂失效会显著增加框架倒塌的风险,在服役期风险评估中,其倒塌概率是理想情况下的5倍左右,残余变形超越概率最高为理想情况下的6倍;SMA自复位支撑具有更大的变形能力以及额外的耗能能力,在抗倒塌和抑制残余变形方面表现更为良好。
  • 周颖, 王睿, 田文博
    建筑结构学报. 2022, 43(07): 11-20. https://doi.org/10.14006/j.jzjgxb.2020.0773
    摘要 ( ) PDF全文 ( )   可视化   收藏
    自复位墙防震结构作为典型的可恢复功能结构,具有变形能力强、结构损伤小等特点,可显著减少建筑结构的震后修复费用。现有研究对自复位墙防震结构一般采用基于位移设计方法进行设计,而先结构选型、后位移校核的基于力设计方法尚未形成。为此,提出了自复位墙防震结构基于力设计方法,以规范中规定的地震影响系数曲线为依据,考虑了多水准抗震设防时结构的最大层间位移角限值要求。以一幢6层自复位墙防震结构为例,采用有限元分析进行了基于力设计方法的位移验算有效性验证,并基于理论推导,对基于力设计方法和基于位移设计方法进行了对比,证明了两种设计方法理论基础的一致性。研究表明,基于力设计方法可作为对基于位移设计方法的补充,满足自复位墙防震结构的设计需求。
  • 薛建阳, 罗峥, 隋, 杨仁猛, 刘锦洋, 任瑞,
    建筑结构学报. 2022, 43(07): 21-31. https://doi.org/10.14006/j.jzjgxb.2020.0707
    摘要 ( ) PDF全文 ( )   可视化   收藏
    为提高黏滞阻尼伸臂桁架在地震作用下的耗能效率,设计了一种带位移放大装置的黏滞阻尼伸臂桁架。对分别设置传统型和位移放大型黏滞阻尼伸臂桁架的超高层结构进行有限元分析,对比了结构的地震响应及阻尼器的工作状态。通过动力荷载试验,考察两种黏滞阻尼伸臂桁架的滞回性能,对比阻尼器的位移及耗能,研究位移放大系数的变化规律,分析伸臂桁架刚度对黏滞阻尼伸臂桁架工作效率的影响。结果表明:相比传统型黏滞阻尼伸臂桁架,采用位移放大型黏滞阻尼伸臂桁架可将阻尼器的耗能效率提高至原来的1.5~1.8倍,使结构获得更好的减震效果;位移放大型黏滞阻尼伸臂桁架滞回曲线光滑、对称、饱满,具有良好的工作性能,且能有效放大阻尼器的工作位移并增大耗能;提出了黏滞阻尼伸臂桁架的位移放大系数的计算式,计算值与试验值吻合较好;为保证黏滞阻尼伸臂桁架的工作效率,建议伸臂桁架的刚度比取值不小于9。
  • 兰炳稷, 何浩祥, 王宝顺
    建筑结构学报. 2022, 43(07): 33-43. https://doi.org/10.14006/j.jzjgxb.2020.0788
    摘要 ( ) PDF全文 ( )   可视化   收藏
    传统的肘节式位移放大机构可以增大阻尼器变形从而提高结构减振效率,但其需占据较大空间,且相关的基于小变形假设的位移放大系数理论公式不能反映放大系数时变特性,难以实现几何构造优化。为此,提出一种以黏滞阻尼器为阻尼元件的局部肘节消能装置,其具有占用空间小、布置灵活等特点。基于几何关系推导局部位移放大系数解析解,并对其进行参数分析。分析结果表明:局部凸肘节消能装置的位移放大能力随下连杆与水平面夹角增大而增强,而局部凹肘节消能装置则与之相反;局部凸肘节消能装置的最优下连杆长度与装置高度之比位于[0.7,1.3]区间内,局部凹肘节消能装置的该比值约为0.7。根据改进D值法提出适用于框架结构的局部肘节消能装置层间位移放大系数计算方法。以消能装置在外部激励下最大侧移为基础,给出了针对层间位移放大系数的优化步骤,并通过算例分析验证局部肘节消能装置的可行性和几何优化方法的有效性。采用所提优化方法进行局部肘节消能装置设计,可有效增强其位移放大能力和振动控制效果。
  • 曹迎日, 潘鹏, 孙江波, 王海深
    建筑结构学报. 2022, 43(07): 44-53. https://doi.org/10.14006/j.jzjgxb.2020.0721
    摘要 ( ) PDF全文 ( )   可视化   收藏
    碟簧-单摩擦摆三维隔震(振)装置(3DFPS)由碟簧竖向隔振单元和单摩擦摆水平隔震单元组成,可以实现环境激励工况下建筑结构的竖向隔振与地震工况下的水平隔震。为了研究3DFPS的力学性能及隔震(振)效果,制作了足尺的3DFPS试件,并对其进行压剪试验。结果表明:3DFPS的竖向性能与水平向性能相互独立,竖向隔振单元与水平隔震单元可独立设计;通过在叠合碟簧间加入0.03mm聚四氟乙烯(PTFE)薄膜可以减小碟簧间摩擦,使小位移下的循环加载刚度更接近大位移下的单调加载刚度。对采用3DFPS和固接到地面的平面框架结构进行有限元弹性时程分析,研究此装置在水平地震与竖向地铁振动激励下的隔震(振)效果。结果表明:三维隔震(振)装置可使水平地震下结构响应减少80%以上,使地铁振动激励下楼面竖向加速度响应减小61%;碟簧竖向压缩变形对结构在水平地震下的响应没有明显的影响。
  • 李强强, 徐赵东, 陆勇, 董尧荣, 徐业守, 祝陈,
    建筑结构学报. 2022, 43(07): 54-61. https://doi.org/10.14006/j.jzjgxb.2020.0509
    摘要 ( ) PDF全文 ( )   可视化   收藏
    黏弹性减震材料的力学性能直接影响黏弹性装置的减震效果,其力学行为除了具有典型的超弹性特征外,亦会表现出显著的黏弹特性。为了准确描述黏弹性减震材料复杂的力学行为,在已有超弹性力学模型的基础上,构造多项式形式的黏度方程对材料的应变率效应进行表达,建立了相应的材料黏性应变能函数,同时引入流体动力学补强理论以考虑填料的影响,通过理论推导,建立能够考虑应变率效应的黏弹性减震材料本构模型,进而在不同加载应变率下对黏弹性减震材料的应力-应变关系进行了一系列试验研究,并利用试验数据对所建模型的准确性与适用性进行对比验证。结果表明:应变率对黏弹性减震材料的力学性能具有显著的影响,考虑应变率效应和填料补强效应后模型的预测鲁棒性得到了较大的提高,所建模型可在较广的应变范围(0~300%)内对不同应变率下黏弹性减震材料的应力-应变行为进行较为准确的预测。
  • 尚庆学, 张锡朋, 陈曦, 王涛,
    建筑结构学报. 2022, 43(07): 62-71. https://doi.org/10.14006/j.jzjgxb.2020.0610
    摘要 ( ) PDF全文 ( )   可视化   收藏
    为了促进减震技术的应用,提出了一种基于位移型阻尼器力学模型和结构力学特征的消能减震设计方法。此方法避免了传统消能减震设计方法中多自由度体系与等效单自由度体系的相互转化,面向多自由度体系进行主体结构、阻尼器、连接构件一体化减震设计,与抗震设计规范和设计流程相衔接,具有较好的适用性。利用所提出的消能减震设计方法,使用墙式连接金属阻尼器,对1个8度抗震设防的4层钢筋混凝土框架原型结构进行了减震设计,得到墙式连接金属阻尼器减震结构,采用OpenSees对其进行了9度罕遇地震作用下的弹塑性时程分析,验证了所提出的减震设计方法的有效性。
  • 装配式结构
  • 王娟, 姜绍飞, 崔二江, 佟思逸
    建筑结构学报. 2022, 43(07): 72-80. https://doi.org/10.14006/j.jzjgxb.2020.0649
    摘要 ( ) PDF全文 ( )   可视化   收藏
    为了有效监控地震作用下装配式剪力墙裂缝损伤发展过程,提出了基于压电导波的改进概率成像分析方法。通过布设阵列传感器将待检测区域划分为多个子区域,根据发射与接收信号的相干函数提取有效信号;以该有效信号为输入信号,分别计算各子区域中基于信号能量特征差异系数的损伤指标,并利用概率统计方法对该损伤指标进行筛分,排除环境因素的影响;由损伤概率成像算法对检测区域内产生的所有裂缝位置进行叠加成像并提取图像阈值,从而实现装配式剪力墙在地震过程中裂缝损伤发生的判断、定位及演化分析。通过装配式框架-剪力墙结构的振动台试验验证了所提方法及裂缝损伤演化分析的有效性。所提出的改进损伤概率成像分析方法可直观有效地检测装配式剪力墙在地震作用下裂缝损伤的发生、位置及演化过程,可用于装配式结构的损伤监测。
  • 马昕煦, 张晓勇, 曹志伟, 张士前, 肖绪文,
    建筑结构学报. 2022, 43(07): 81-90. https://doi.org/10.14006/j.jzjgxb.2019.0451
    摘要 ( ) PDF全文 ( )   可视化   收藏
    为解决装配式剪力墙灌浆套筒构造施工难、存在安全风险的问题,提出一种竖向分布钢筋不连续并加粗两侧现浇区纵筋直径的装配式剪力墙体系。提出了该剪力墙的承载力计算式,并建立了30个有限元分析模型对其进行检验,结果表明,采用正截面承载力设计值对承载力的估计较为准确,且初始刚度与现浇剪力墙一致。为便于实际工程设计,提出了间接设计方法,即将现浇剪力墙按压弯等强和抗剪等强的配筋原则等效为装配式剪力墙,设计过程中,所有标准层剪力均按底层标准层进行等效配筋。通过对间接设计方法合理性分析,发现虽然按照“偏心受压等强替换”原则配筋的装配式剪力墙在低轴压比条件下承载力低于现浇剪力墙,但由于层间剪力较低,结构仍满足安全性要求。
  • 蔡琪, 宋晓滨, 肖绪文, 顾祥林, 张士前, 廖显东, 苏群山
    建筑结构学报. 2022, 43(07): 91-99. https://doi.org/10.14006/j.jzjgxb.2021.0119
    摘要 ( ) PDF全文 ( )   可视化   收藏
    为研究竖向分布钢筋不连续的装配式剪力墙结构抗震性能,设计了1个缩尺比为1/2的四层模型结构,并对其开展振动台试验。试验中考虑了7度多遇至9度罕遇等地震烈度(0.035g~0.62g),并进行了峰值加速度0.80g的El Centro波破坏加载。研究结果表明:在7度罕遇地震作用下,模型结构处于弹性状态,最大层间位移角仅1/991;模型结构进入塑性阶段后(8度罕遇和9度罕遇地震作用),现浇边缘构件产生水平裂缝并跨越竖向拼缝向预制墙体发展,模型结构频率和阻尼比大幅变化,最大层间位移角为1/125;在峰值加速度0.80g的El Centro波作用下,模型结构发生典型的压弯破坏,一层现浇边缘构件混凝土局部压坏,钢筋压曲,但未发生整体破坏或倒塌;模型结构的1阶频率和阻尼比分别降低58.3%和增大163.2%,层间位移角达1/87;该剪力墙结构整体变形呈弯曲型,其现浇边缘构件和预制墙体具有良好的协同工作能力,抗震性能良好。
  • 周雅, 冯健, 蔡建国, 曹云峰, 张骞,
    建筑结构学报. 2022, 43(07): 100-110. https://doi.org/10.14006/j.jzjgxb.2020.0420
    摘要 ( ) PDF全文 ( )   可视化   收藏
    为了研究预制预应力混凝土装配整体式框架结构(世构体系)抗震性能,以某实际工程世构体系框架结构为原型,对其底部两层进行缩尺模型振动台试验研究。观察试验模型在不同振动工况下的损伤及破坏情况,对模型在各水准地震作用下的动力特性、加速度、位移、应变及扭转反应进行分析,并根据试验现象与试验结果,对世构体系框架整体进行抗震性能的综合评价。结果表明:该预制装配框架体系在多遇地震作用下未出现明显损伤,在罕遇地震作用下节点核心区未出现裂缝,模型仍能保持较好的整体性,抗震性能良好;试验模型结构布置合理,地震作用下主要运动形式为平动;罕遇地震作用下,模型自振频率最大降幅为21.89%,最大层间位移角为1/122;虽然模型存在一定程度的损伤,但其弹塑性层间位移角均小于GB 50011—2010《建筑抗震设计规范》中的限值,满足我国“小震不坏”、“大震不倒”的抗震设防目标。
  • 冯世强, 杨勇, 薛亦聪, 于云龙, 张逸群, 王先铁
    建筑结构学报. 2022, 43(07): 111-122. https://doi.org/10.14006/j.jzjgxb.2020.0287
    摘要 ( ) PDF全文 ( )   可视化   收藏
    为了提高传统装配式混凝土结构的抗震能力,结合螺栓连接的施工性能、后张预应力筋的复位性能和腹板摩擦装置的耗能性能优势,提出一种预应力自复位装配式混合(SPH)框架结构。SPH框架结构由预应力钢筋混凝土柱和预制预应力钢-混凝土混合梁通过高强螺栓拼装而成,主要通过布置在梁与柱内的后张无黏结预应力筋提供复位力,通过混合梁内的摩擦装置与钢梁段的塑性变形进行耗能。完成了1榀无预应力装配式混合(NPH)框架及2榀SPH框架的低周往复加载试验,分别考虑了预制梁、柱内预应力筋初始预应力、摩擦装置处高强螺栓初始预紧力及柱脚构造措施对该类结构承载能力、复位性能及耗能能力等抗震性能的影响。研究结果表明:采用千斤顶非接触锚具的后张预应力筋方法行之有效;SPH框架相较于NPH框架表现出更好的承载性能、复位效果、变形及耗能能力;SPH框架表现出明显的两阶段特征,即在位移角2.0%以前,结构整体表现为“强复位、低耗能”特点,可以有效控制残余变形,相对自复位率保持在85%左右,在位移角2.0%以后,结构整体表现为“弱复位、强耗能”特点;整个试验过程中SPH框架主体构件损伤不明显,基本实现震后可恢复功能。
  • 李威威, 潘一君, 王曙光, 杨超, 徐锋
    建筑结构学报. 2022, 43(07): 123-130. https://doi.org/10.14006/j.jzjgxb.2020.0384
    摘要 ( ) PDF全文 ( )   可视化   收藏
    装配式结构中套筒连接常由于施工不当或套筒堵塞等原因造成灌浆缺陷,严重影响了装配式混凝土框架的抗震性能。为了评估存在套筒灌浆缺陷装配式框架结构的抗震性能,进行了1榀现浇框架和1榀环向灌浆缺陷率为30%的装配式框架的拟静力试验。研究结果表明:与现浇框架相比,30%灌浆缺陷率影响下装配式混凝土框架的承载能力下降了20%,抗侧刚度仅约为现浇框架的80%,刚度衰退也更为迅速;两榀框架的位移延性系数均在2.6~3.0之间,但环向灌浆缺陷率为30%的装配式混凝土框架的峰值位移和极限位移仅约为现浇框架的70%。因此,存在套筒灌浆缺陷的装配式框架结构抗震性能弱于现浇框架结构。
  • 钱凯, 何畔, 原小兰, 邓小芳, 李治
    建筑结构学报. 2022, 43(07): 131-142. https://doi.org/10.14006/j.jzjgxb.2020.0226
    摘要 ( ) PDF全文 ( )   可视化   收藏
    为了研究中柱失效下预制装配式框架结构的抗连续倒塌性能,制作了5个两跨1/3缩尺梁-柱子结构模型,采用pushdown加载方式研究其在倒塌过程中的抗力机制与破坏模式。试验结果表明:采用顶底角钢连接、无黏结预应力拼接以及混合连接等三种连接方式对其抗连续倒塌性能及抗力机制影响很大;由于纵筋在梁柱节点区域不连续,无黏结预应力连接结构不能发展有效的弯曲机制,而在梁柱界面上安装顶底角钢时,则可以发展较好的弯曲机制;预制装配式结构的破坏模式和抗力机制与普通混凝土结构明显不同,预制装配式结构抗力从加载初期就主要由预应力钢筋发展悬链线作用提供。通过高精度有限元软件LS-DYNA进行精细化有限元建模,在验证数值模型的基础上开展参数分析。有限元分析结果表明:装配式结构中采用有黏结预应力筋可以增大结构在小变形阶段的承载能力,而在大变形阶段,有黏结预应力筋断裂更早,变形能力更弱,承载力也较低。
  • 章少华, 张锡治, 张天鹤, 李星乾, 丁永君, 贾莉
    建筑结构学报. 2022, 43(07): 143-155. https://doi.org/10.14006/j.jzjgxb.2020.0397
    摘要 ( ) PDF全文 ( )   可视化   收藏
    为研究预制混凝土管组合柱-钢梁连接节点的抗震性能,以轴压比、钢套箍延伸高度、芯部混凝土强度以及钢套箍厚度为主要参数,进行了6个1/2缩尺节点的拟静力试验。研究了各节点的破坏形态、滞回特性、承载能力、耗能能力以及节点域受剪性能。试验结果表明:各节点主要破坏模式均为节点域剪切破坏;滞回曲线呈典型弓形,耗能能力较好;芯部混凝土强度和钢套箍厚度是影响节点抗震性能的关键参数,对承载能力和耗能性能影响较大;破坏时节点域极限剪切变形介于0.0482 ~0.100 rad之间;节点域受剪承载力降低系数介于0.86~1.00之间,承载力退化性能稳定。建立了预制混凝土管组合柱-钢梁连接节点受剪承载力计算式,计算值与试验值吻合较好且偏于安全。
  • 潘从建, 徐福泉, 冯大斌, 黄小坤
    建筑结构学报. 2022, 43(07): 156-164. https://doi.org/10.14006/j.jzjgxb.2020.0022
    摘要 ( ) PDF全文 ( )   可视化   收藏
    为了研究初始扭矩作用下全装配预应力混凝土矩形截面梁端界面的弯扭性能,设计了2组共8个不同配筋及不同初始扭矩的装配式预应力混凝土梁柱边节点,并对其进行拟静力试验。对比研究梁端的受扭变形和承载力、裂缝分布特征以及受弯滞回性能等。结果表明:屈服位移角后,随着位移角增加,梁端界面耗能钢筋屈服耗能,受压区高度减小,界面受扭承载力降低,界面受扭承载力主要由界面预应力筋作用下的静摩擦力承担;界面抗扭失效后的扭转变形不可恢复,扭转变形随着位移角的逐级循环加载而累积增加;扭弯比为0.02、0.04和0.06的扭矩作用时,抗扭失效后的扭转变形导致耗能钢筋剪弯变形,其对极限位移角下的梁端受弯滞回性能和自复位性能有不利影响,但影响较小;增加耗能钢筋配筋量不能有效提高节点屈服后的界面受扭性能,增加预应力筋配筋量能提高极限位移角下的界面受扭承载力,但承载力较低。
  • 金属结构
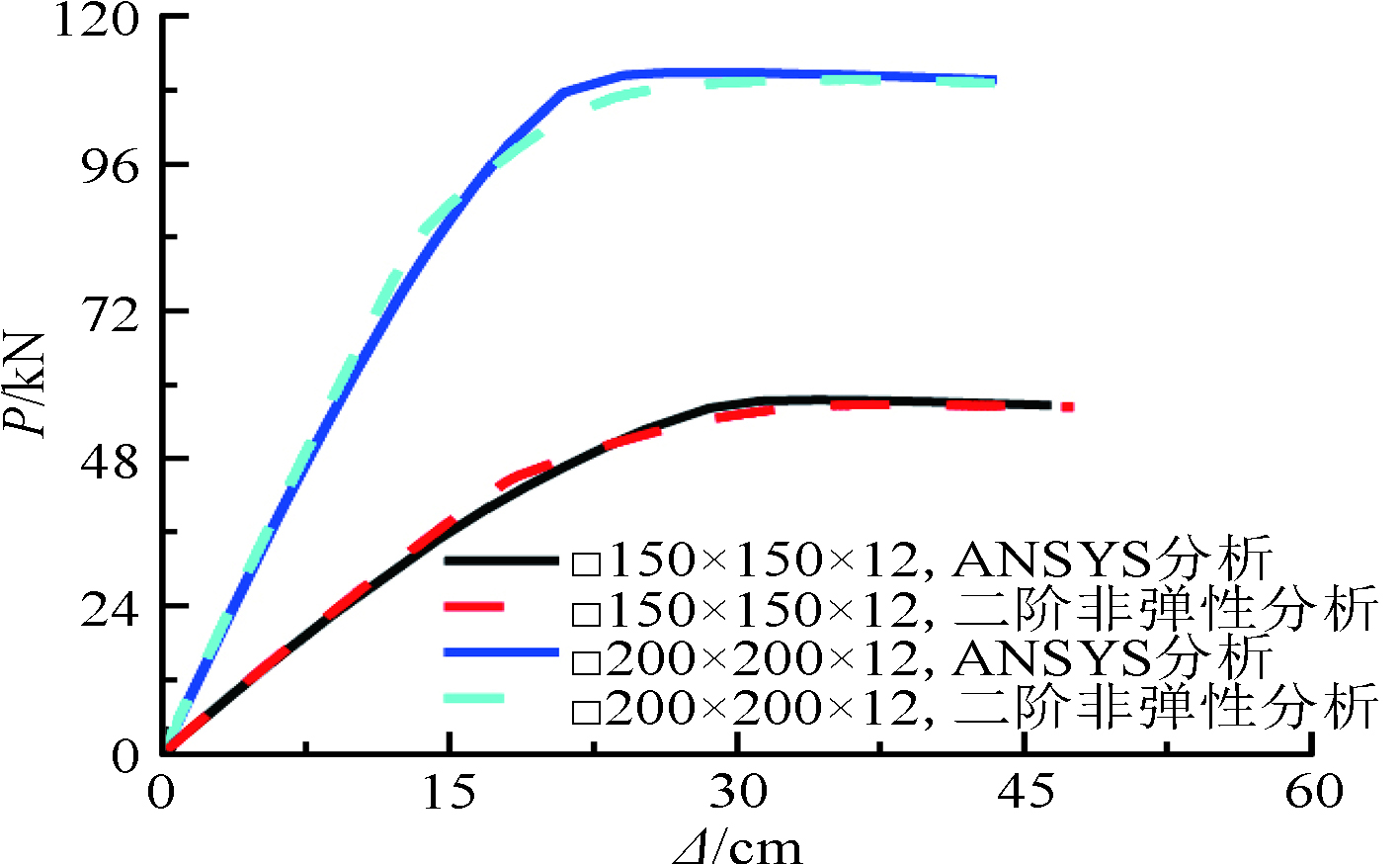
  • 周祎, 仵振, 潘毅, 黄冬川
    建筑结构学报. 2022, 43(07): 165-174. https://doi.org/10.14006/j.jzjgxb.2020.0515
    摘要 ( ) PDF全文 ( )   可视化   收藏
    高强钢的焊接残余应力分布和普通钢材的有较大差异,现有的切线模量和刚度退化函数不适合用于高强钢焊接箱形截面的二阶非弹性分析。而精炼塑性铰模型通过切线模量和刚度退化函数可合理考虑残余应力的影响和塑性渐进发展,达到与塑性区模型相近的精度。基于此,提出适合高强钢焊接箱形截面的二阶非弹性分析方法。通过稳定函数考虑单元二阶效应,基于杆端部转动引起的构件弯曲及其导致的轴向应变,考虑弯曲效应。在精炼塑性铰模型中,采用高强钢焊接箱形截面的残余应力统一分布模型,通过截面分析法构建不同强度等级的焊接箱形截面切线模量计算公式。同时,分析轴力和弯矩共同作用下的渐进屈服对箱形截面刚度退化的影响,从而建立可模拟截面塑性发展的刚度退化函数。结合塑性铰的产生与发展对平衡微分方程解的影响,建立梁柱单元的弹塑性刚度矩阵。结果表明,所提出的二阶非弹性分析方法可准确分析高强钢焊接箱形截面轴压构件的力学性能,可应用于高强钢框架结构设计,为二阶非弹性分析方法的工程应用提供参考。
  • 袁焕鑫, 刘向华, 杨璐, 向虎, 杜新喜
    建筑结构学报. 2022, 43(07): 175-183. https://doi.org/10.14006/j.jzjgxb.2020.0486
    摘要 ( ) PDF全文 ( )   可视化   收藏
    为研究不锈钢T形件螺栓连接的滞回性能,分别参照JGJ/T 101—2015《建筑抗震试验规程》和FEMA 461设计了两种不同的循环加载制度,开展16个不锈钢(奥氏体型S30408、双相型S22253)T形件和4个普通钢(Q345B)T形件螺栓连接试件的低周循环加载试验,获得了T形件的滞回曲线和破坏形态,得到了T形件在循环荷载作用下的循环硬化、强度退化特性和耗能能力。研究结果表明:不锈钢T形件的滞回性能明显优于普通钢T形件的,前者耗能平均为后者的2.07倍;循环荷载作用下T形件的破坏形态主要包括螺栓断裂和翼缘板靠近焊趾处断裂两类,与T形件的单调加载破坏模式和加载制度有关;两种牌号不锈钢T形件在循环荷载作用下均表现出较为明显的循环硬化特性,试验后期则由于裂纹的萌生和发展呈现出强度退化;相对于FEMA 461的加载制度,采用JGJ/T 101—2015的循环加载制度得到的T形件的加载圈数和总耗能能力均较大。
  • 王友德, 史涛, 马蕊, 徐善华
    建筑结构学报. 2022, 43(07): 184-193. https://doi.org/10.14006/j.jzjgxb.2020.0604
    摘要 ( ) PDF全文 ( )   可视化   收藏
    为研究一般大气环境锈蚀对梁柱焊接节点抗震性能的影响,对6根H型钢焊接梁柱节点试件进行了户外周期喷淋加速腐蚀试验与低周往复荷载试验,研究不同锈蚀率对焊接梁柱节点损伤过程、破坏模式、滞回曲线、骨架曲线、承载力、变形能力、刚度及耗能能力的影响,得到了其承载力、延性及耗能能力随锈蚀率增大的退化规律。研究结果表明:一般大气环境下节点呈现出全面锈蚀特征,且不同位置的锈蚀量存在差别,梁下翼缘的锈蚀量最大,梁腹板、柱翼缘和柱腹板的锈蚀量次之,梁上翼缘的锈蚀量最小;锈蚀对梁柱焊接节点失效模式具有重要影响,锈蚀率为5.03%~8.85%的节点梁根部发生严重局部屈曲,产生了明显的承载力退化现象,破坏特征由突然破坏向混合破坏转变,且锈蚀导致断裂临界裂缝萌生位置上移及扩展路径改变;锈蚀节点屈服荷载、峰值荷载、峰值位移和位移延性系数均呈线性退化规律,并产生初始刚度损伤,破坏时塑性循环加载次数较未锈蚀节点降低2~4次,累积耗能呈幂函数降低趋势,锈蚀率为5.03%~8.85%节点梁端总转角不能满足总转角5%的抗震设计要求。
  • 程斌, 黄凤华, 段英豪
    建筑结构学报. 2022, 43(07): 194-204. https://doi.org/10.14006/j.jzjgxb.2020.0750
    摘要 ( ) PDF全文 ( )   可视化   收藏
    为研究鸟嘴式X形方管节点的应力集中特性和疲劳性能,设计了8个节点试件,并开展支管轴力工况和支管面内弯矩工况下的疲劳试验。通过静力单调加载试验,测得焊趾附近的应变分布,并采用二次外推法得到热点应力值和应力集中系数(SCF),分析此类节点在典型支管工况下的关键热点区域;同时,基于有限元参数分析揭示节点几何无量纲参数对SCF的影响规律,并提出SCF计算式。在此基础上开展循环加载试验,得到节点的疲劳破坏模式、裂纹扩展过程、刚度退化及疲劳寿命等性能指标。研究表明:支管轴力工况下的SCF最大值位于主管鞍部或支管鞍部,支管面内弯矩工况下的SCF最大值均位于支管冠部;裂纹多萌生于SCF最大值区域,且在裂纹贯穿壁厚之后节点刚度急剧下降;裂纹达到极限长度时,支管轴力工况下的节点刚度退化率在14%以内,而支管面内弯矩工况下的节点刚度退化率最大达40%;国际管结构协会疲劳设计指南的Srhs-N曲线可用于评估鸟嘴式节点的疲劳寿命;在同等名义荷载作用下,鸟嘴式方管节点的疲劳性能要显著优于相同几何尺寸的传统方管节点。
  • 马印平, 刘永健, 王琨, 马天宇
    建筑结构学报. 2022, 43(07): 205-218. https://doi.org/10.14006/j.jzjgxb.2020.0570
    摘要 ( ) PDF全文 ( )   可视化   收藏
    为对桁架节点受力性能及其与桁架整体力学性能的相互关系进行研究,基于已有的桁架节点承载力及刚度计算方法,得到了桁架节点承载力效率系数和刚度效率系数两个无量纲参数。其中节点承载力效率系数定义为腹杆轴力作用下节点承载力与腹杆发生强度破坏承载力的比值,节点刚度效率系数则定义为腹杆轴力作用下节点轴向刚度与腹杆线刚度的比值。在此基础上,给出了考虑节点力学性能影响的钢管桁架抗弯刚度及承载力简化计算方法,对工程常见参数范围内的矩形及圆形钢管桁架节点承载力、刚度效率系数进行参数分析。结果表明:桁架节点刚度及承载力效率系数实质上反映了钢管桁架节点与腹杆力学性能的量化相互关系,其可在桁架层面对不同类型的节点力学性能进行比较,还可以作为节点力学性能评估和方案优化设计的通用评价指标;依据节点承载力、刚度效率系数可对钢管桁架抗弯刚度及承载力进行快速、准确地估算;为避免桁架由于节点失效过早发生破坏,建议将节点承载力效率系数大于0.8且节点刚度效率系数大于5的桁架定义为满足“强节点弱构件”设计理念的桁架。
  • 王威, 李昱, 苏三庆, 权超超, 甄国凯, 宋鸿来
    建筑结构学报. 2022, 43(07): 219-229. https://doi.org/10.14006/j.jzjgxb.2020.0582
    摘要 ( ) PDF全文 ( )   可视化   收藏
    竖波钢板组合剪力墙因内嵌波形钢板的几何形状优势,表现出良好的抗震性能。在基于性能的抗震设计要求下,竖波钢板组合剪力墙等效塑性铰长度的确定对合理评估其塑性变形能力至关重要,但国内外已有公式均难以体现其复杂的组合作用,有待提出针对性的简化计算式。基于课题组前期试验成果,通过对竖波钢板组合剪力墙试验破坏现象和受力机理的分析,采用OpenSEES软件,建立有限元模型。扩展研究波形钢板几何参数、约束边缘H型钢柱、分布钢筋配置、混凝土强度、设计轴压比以及剪力墙高宽比等参数对等效塑性铰长度的影响规律,发现使用波形钢板含钢率可以更有效地反映波形钢板几何参数对等效塑性铰长度的影响,而混凝土强度和分布钢筋配箍率与等效塑性铰长度呈负相关。通过理论分析和推导提出多参数控制的竖波钢板组合剪力墙等效塑性铰长度简化计算式,该式适合于估算竖波钢板组合剪力墙的塑性变形能力,可以用于该类剪力墙的弹塑性分析。
  • 黎赫东, 艾德米, 朱宏平
    建筑结构学报. 2022, 43(07): 230-238. https://doi.org/10.14006/j.jzjgxb.2020.0586
    摘要 ( ) PDF全文 ( )   可视化   收藏
    基于压电阻抗(electromechanical impedance, EMI)技术,针对结构损伤识别提出了阻抗/导纳数据压缩与重构的方法,利用随机矩阵将监测系统中的原始阻抗数据向量进行线性映射,并将映射后的向量输入到接收系统中;基于压缩感知理论将重构原始数据的问题转化成非确定性多项式问题,并基于凸优化(convex optimization, CO)理论求解;在损伤识别阶段,利用均方根偏差(root mean square deviation, RMSD)统计指标对重构阻抗数据的识别效果进行评估,并与使用原始阻抗数据的效果进行对比。利用简支钢梁的局部损伤识别试验采集的阻抗数据证明所提出方法的有效性。结果表明:基于重构阻抗数据能够有效识别结构损伤,基系数矩阵的稀疏度随着测量数的减少而降低,一致球集合对应的稀疏度区间低于其他测量矩阵,阻抗数据重构效果随着压缩率的增加而减弱,当压缩率高于2.0时,部分使用重构阻抗数据识别结构损伤的误差将大于20%,损伤识别精度降低。
  • 郭兵, 郭强, 孙艳文
    建筑结构学报. 2022, 43(07): 239-244. https://doi.org/10.14006/j.jzjgxb.2020.0543
    摘要 ( ) PDF全文 ( )   可视化   收藏
    波纹钢综合管廊属于新型地下结构,为探讨其中悬臂支架对半圆形波纹钢管承载力的影响,采用有限元方法进行承载力分析,研究了支架位置、荷载形式等参数的影响。分析结果表明,在支架荷载单独作用下,破坏模式为支架连接处的管壁发生弯曲破坏,屈服弯矩取决于支架连接波数和单波受弯能力;在环向压力单独作用下,破坏模式为平面内整体失稳,极限荷载与支架位置无关;在支架荷载和环向压力共同作用下,破坏模式仍为平面内整体失稳,支架荷载和环向压力的相关关系可偏安全地简化为直线。依据分析结果,给出了支架荷载允许值以及波纹钢管稳定承载力的计算方法,可供波纹钢综合管廊设计参考。
  • 基础理论与共性技术
  • 冀昆, 温瑞智, 任叶飞,
    建筑结构学报. 2022, 43(07): 245-252. https://doi.org/10.14006/j.jzjgxb.2020.0740
    摘要 ( ) PDF全文 ( )   可视化   收藏
    为了在时程分析中考虑加速度反应谱之外的强度指标,构建了兼顾危险一致性和参数完备性的广义条件参数目标谱用于地震动记录选取。结合我国地震安全性评价中设定地震解耦的特点,提出利用各个潜源微元的贡献率作为权重计算条件均值向量,进而通过拉丁超立方分层抽样得到多元正态分布假设下的广义强度参数条件分布,即广义条件参数目标谱。通过K-S假设检验的D值法在数据库中搜寻最符合目标分布的记录组合作为选波结果。以我国某工程的地震安全性评价为实例,构建同时考虑幅值、频谱、持时以及谱强度指标的广义条件参数目标谱。结果表明:考虑设定地震贡献率修正的强度指标目标分布与单一设定地震的结果存在差异;广义条件谱记录选取结果的危险性曲线和场址概率危险性分析的结果基本一致;在低超越概率水平下, 广义条件谱下的危险一致性不及仅考虑加速度反应谱指标的条件谱。
  • 徐铭阳, 王丛, 董尧, 吕大刚,
    建筑结构学报. 2022, 43(07): 253-263. https://doi.org/10.14006/j.jzjgxb.2020.0730
    摘要 ( ) PDF全文 ( )   可视化   收藏
    结合当前国际上以“抗倒塌”为目标进行地震动参数区划和以“一致倒塌风险”为设防目标进行结构抗震设计的发展趋势,针对我国现行建筑抗震设计规范体系中抗倒塌能力评估的局限性,建议了四种一致风险抗倒塌设计方法,详细介绍了四种方法的评价指标与计算过程。考虑极罕遇地震作用,基于极罕遇地震一致风险谱对地震动记录进行了挑选与调幅。以RC框-剪结构作为典型案例,采用四种抗倒塌设计方法进行验算,结果表明:同时考虑地震危险性与结构不确定性影响的全概率方法验算未通过,其余验算方法均通过,这说明了忽略结构所在场地危险性影响会造成结构倒塌性能评估的不准确性,未考虑结构体系多种不确定性影响会高估结构的抗倒塌性能,因此有必要推行“一致风险”的结构设计理念。
  • 程国忠, 周绪红, 刘界鹏, 李东声, 徐坤, 黄涛, 刘军
    建筑结构学报. 2022, 43(07): 264-271. https://doi.org/10.14006/j.jzjgxb.2020.0805
    摘要 ( ) PDF全文 ( )   可视化   收藏
    复杂超高层结构外框和核心筒的施工误差导致按设计加工的钢梁或伸臂桁架安装困难,甚至常需在工地现场修整。然而传统的检测方法很难全面精准地测量出已完成结构的尺寸偏差,导致拟安装构件的修整难度很大。而采用三维激光扫描技术可全覆盖地得到已完成结构的精准点云数据。为此,以重庆陆海国际中心为工程背景,开展基于三维激光扫描技术的复杂超高层结构尺寸质量智能化检测研究,包括扫描方案智能优化、点云数据智能分割与识别、误差可视化三个方面。研究结果表明,基于三维激光扫描技术和智能算法的尺寸质量检测方法高效、精准且实用,可为大型复杂结构的尺寸质量智能化检测技术提供理论和算法支撑。
  • 杨娜, 郭佳琛, 常鹏, 白凡, 王忠铖
    建筑结构学报. 2022, 43(07): 272-281. https://doi.org/10.14006/j.jzjgxb.2020.0464
    摘要 ( ) PDF全文 ( )   可视化   收藏
    门厅结构是藏式宫殿建筑地垄结构中唯一的木构架承重结构。由于木构架的残损,可导致其刚度和承载能力均有所降低。为研究某藏式宫殿门厅结构的动力特性及安全性能,通过环境激励下的结构动力特性现场测试识别了门厅结构的东西向和南北向振动的前3阶模态参数。按照实际尺寸建立门厅结构的精细化有限元模型,通过模型设计参数灵敏度分析,确定边界弹簧刚度参数和顺纹承压木构件材性参数作为模型修正参数,基于实测结果采用参数型模型修正方法,使修正后模型的各阶模态频率计算值与实测值的误差小于5%,振型残差小于0.3,振型模态置信准则(modal assurance criterion,MAC)值大于0.9,表明修正后的模型可以较好地反映门厅结构的真实动力特性,可用于后续藏式宫殿门厅结构的状态评估。
  • 邹超, 陈颖, 陶子渝, 何卫
    建筑结构学报. 2022, 43(07): 282-289. https://doi.org/10.14006/j.jzjgxb.2020.0827
    摘要 ( ) PDF全文 ( )   可视化   收藏
    以深圳地铁某车辆段上盖28层剪力墙结构为研究对象,通过现场试验研究地铁车辆段试车线及咽喉区水平向车致振动在上盖建筑中的传播规律。在此基础上,基于阻抗理论,考虑弯曲波在剪力墙中的传播特性,以实测数据作为荷载输入,建立了地铁车辆段上盖建筑水平向振动频域预测模型。研究结果表明:上盖剪力墙结构水平向表现出明显的整体振动特点,水平振动随楼层变化不大;咽喉区与试车线由于轨道结构的差异导致建筑物水平振动频率差异较大,相比咽喉区,试车线列车引起的建筑水平振动以高频段为主;提出的预测模型能够较好地反映地铁列车运行引起的上盖建筑水平向振动规律,可为地铁车辆段上盖建筑在规划和设计阶段提供高效、精确、便捷的预测方法。
  • 黄一杰, 力传玺, 高朋, 肖建庄
    建筑结构学报. 2022, 43(07): 290-300. https://doi.org/10.14006/j.jzjgxb.2020.0560
    摘要 ( ) PDF全文 ( )   可视化   收藏
    为了研究海水珊瑚混凝土柱的抗震性能,以混凝土类型、纵筋配筋率、配箍率和轴压比为主要参数,开展了6个环氧涂层钢筋混凝土柱低周反复荷载试验,分析了柱的破坏形态、承载力、延性和滞回耗能等变化。研究结果表明:环氧涂层钢筋海水珊瑚混凝土具有良好的抗震性能,海水珊瑚混凝土对柱延性、刚度退化有明显影响,而对承载力与耗能能力影响较小;海水珊瑚混凝土柱位移延性系数和承载力较普通混凝土柱降低19.25%与6.67%,而屈服荷载和峰值位移分别提高5.94%、25.90%;环氧涂层钢筋海水珊瑚混凝土柱耗能能力和滞回特性随纵筋配筋率和轴压比的变化而显著改变;增大配箍率可提高其延性。针对环氧涂层钢筋海水珊瑚混凝土柱提出了骨架曲线模型与抗震损伤评估模型。分析表明,侧移达到弹塑性层间位移角限值时,海水珊瑚混凝土柱纵筋配筋率或配箍率宜分别提高10%、16%,可以使其震损水平与普通混凝土柱相近。
  • 刘海军, 肖昭然, 赵宪强, 赵文才, 吕清显
    建筑结构学报. 2022, 43(07): 301-312. https://doi.org/10.14006/j.jzjgxb.2020.0661
    摘要 ( ) PDF全文 ( )   可视化   收藏
    明确静压桩回弹和复压特性有利于提高静压沉桩质量及其经济性。为此,采用室内模型试验模拟砂土地基中静压沉桩,考虑沉桩速率、桩长和卸荷速率,分析静压桩卸荷过程中桩体回弹量、桩周侧压应力、桩端残余应力和单桩极限承载力的变化规律。并对比分析了复压前与复压后桩体回弹量、桩周侧压应力和桩体极限承载力的变化。结果表明:桩体回弹量主要与桩长有关,桩体回弹量约为桩长的0.4%,并随沉桩速率和卸荷速率增加而增大,且卸荷速率的影响程度大于沉桩速率。建立了桩体回弹量随时间变化的双曲线模型,较好地反映了卸荷过程中桩体回弹量随时间的变化规律。提出了卸荷后桩周侧压应力计算的修正被动土压力计算式,其计算结果显著优于被动土压力公式计算结果。沉桩速率和卸荷速率引起的极限承载力差异最高可达12%,建议以沉桩终压力的1.04倍进行桩体极限承载力估算。复压的主要作用是提高桩周侧压应力,且桩周侧压应力约提高50%,桩体承载力提高幅度约为10%,故实际工程中应关注复压施工质量,以有效提高桩体极限承载力。