2022年, 第43卷, 第06期 刊出日期:2022-06-05
  

  • 全选
    |
    混凝土及组合结构
  • 姜超, 丁豪, 顾祥林, 张伟平,
    建筑结构学报. 2022, 43(06): 1-10. https://doi.org/10.14006/j.jzjgxb.2020.0684
    摘要 ( ) PDF全文 ( )   可视化   收藏
    为快速准确评估受拉纵筋锈蚀对钢筋混凝土梁正截面受弯承载力的影响,采用解析方法计算受弯破坏时锈蚀钢筋混凝土梁正截面应力和应变分布,识别并定义锈蚀钢筋混凝土梁的3个界限锈蚀率和6种正截面受弯破坏模式,提出预判破坏模式再计算承载力的锈蚀钢筋混凝土梁正截面受弯承载力简化计算方法。采用该简化方法,计算相关文献中235根锈蚀钢筋混凝土梁的正截面受弯承载力,并与试验结果对比,验证该简化方法的准确性。通过两个算例,分别研究初始超筋梁和初始适筋梁的正截面受弯破坏模式及承载力随受拉纵筋锈蚀率的变化规律。研究结果表明:随着受拉纵筋锈蚀率的增大,初始超筋钢筋混凝土梁的正截面受弯破坏模式按照从“类似超筋”、“类似适筋”、“类似超筋”到“类似少筋”依次转变;初始适筋钢筋混凝土梁的正截面受弯破坏模式按照从“类似适筋”、“类似超筋”到“类似少筋”依次转变;钢筋混凝土梁正截面受弯承载力近似呈多段线性降低,最终退化为素混凝土梁的开裂弯矩,转折点位置为界限及临界锈蚀率。
  • 李平先, 张炎龙, 王卫国
    建筑结构学报. 2022, 43(06): 11-20. https://doi.org/10.14006/j.jzjgxb.2020.0724
    摘要 ( ) PDF全文 ( )   可视化   收藏
    为研究超大保护层水工钢筋混凝土梁的裂缝特征以及评估其对DL/T 5057—2009《水工混凝土结构设计规范》裂缝宽度计算公式的适用性,进行了10根截面宽度为200~300 mm、高度为400~1 000 mm、保护层厚度为25~150 mm配置HRB400钢筋混凝土简支梁的受弯性能试验,得到梁的开裂荷载、裂缝间距的大小与分布、裂缝宽度等,分析了混凝土保护层厚度对梁的裂缝间距和裂缝宽度的影响,结合短期裂缝试验结果,采用DL/T 5057—2009《水工混凝土结构设计规范》的裂缝计算公式进行了对比计算。结果表明:在正常使用状态下,当混凝土保护层厚度小于60 mm时,裂缝平均间距随保护层厚度的增大而增加;当混凝土保护层厚度超过60 mm时,保护层厚度对裂缝平均间距影响不大;平均裂缝间距、平均裂缝宽度和短期最大裂缝宽度试验值与按DL/T 5057—2009计算的结果相比总体上偏小。根据试验结果并参考相关规范,给出平均裂缝间距计算式,并根据黏结滑移理论得到了适用于超大保护层厚度的钢筋混凝土梁短期最大裂缝宽度计算式,经与裂缝试验资料对比计算,其短期最大裂缝宽度与试验结果吻合较好。
  • 张素梅, 李孝忠, 卢炜, 陈杰
    建筑结构学报. 2022, 43(06): 21-33. https://doi.org/10.14006/j.jzjgxb.2020.0657
    摘要 ( ) PDF全文 ( )   可视化   收藏
    为增强核心混凝土约束作用并改善其力学性能,在钢管混凝土外部增设圆钢管形成钢管约束的钢管混凝土组合柱,以构件类型、内层和外层钢管含钢率及核心混凝土强度等级为参数,设计并完成了14个钢管约束的钢管混凝土短柱和14个钢管混凝土短柱的轴压试验;观察试验现象和不同试件的破坏模式,研究各关键参数对试件轴压力学性能的影响,分析内层和外层钢管应力和应变发展规律,对比分析钢管混凝土和钢管约束的钢管混凝土的承载力和变形性能。研究结果表明:当钢管约束的钢管混凝土套箍系数不小于0.87,可使钢管混凝土柱的剪切脆性破坏转为截面压溃破坏,外观表现为腰鼓形破坏;达到承载力时,外层钢管横向应力可以达到钢材屈服强度,对核心混凝土的约束作用较强;钢管约束的钢管混凝土短柱轴压承载力较含钢率相近的常规钢管混凝土承载力可以提高20%左右,较内部钢管混凝土承载力可提高约70%。基于叠加法和GB 50936—2014《钢管混凝土结构技术规范》,提出两种钢管约束的钢管混凝土轴压承载力计算方法,预测结果与试验结果吻合良好。
  • 韦建刚, 谢志涛, 罗霞, 杨艳, 吴庆雄, 陈宝春, 袁员
    建筑结构学报. 2022, 43(06): 34-42. https://doi.org/10.14006/j.jzjgxb.2020.0641
    摘要 ( ) PDF全文 ( )   可视化   收藏
    为研究钢管约束超高性能混凝土(UHPC)短柱的套箍效应和轴压承载力,进行了12根钢管约束超高性能混凝土短柱的轴压试验,分析其破坏模式、变形及受力全过程。试验结果表明:钢管约束超高性能混凝土轴压短柱破坏模式与套箍系数相关,随着套箍系数的增大,轴压短柱分别出现剪切破坏、混合破坏和腰鼓破坏;套箍系数较小(0.43~0.52)的短柱,其破坏全过程中弹塑性段较短,表现出较明显的脆性破坏,当套箍系数较大(1.21~1.80)时,短柱破坏时的塑性明显增强。基于试验验证的有限元模型,参数分析表明,钢管套箍效应产生的承载力提高系数介于1.2~1.4之间;在0.43≤ξ≤1.08范围内,承载力提高系数随套箍系数增大而增大,建议径厚比的取值范围为12.0~23.0。通过对现有钢管约束混凝土承载力计算方法分析,提出了钢管约束超高性能混凝土轴压短柱承载力计算方法,其计算结果与试验结果吻合良好。
  • 谢菁, 刘阳, 叶勇, 吴雯雯, 明皓
    建筑结构学报. 2022, 43(06): 43-52. https://doi.org/10.14006/j.jzjgxb.2020.0440
    摘要 ( ) PDF全文 ( )   可视化   收藏
    为合理重复利用废弃石材,将抗压强度高、脆性强的石材置于钢管混凝土柱(CFST)中部,利用钢管的约束充分发挥石材的抗压强度并延缓其压溃,形成内填料石钢管混凝土(SCFST)柱。为研究SCFST短柱的轴压受力机理,采用通用有限元软件ABAQUS建立SCFST短柱精细化3D有限元模型,并利用已经完成的18根SCFST短柱和6根传统钢管混凝短柱试件的破坏形态和荷载-变形关系试验结果对模型的可靠性进行验证。通过验证后的有限元模型,分析SCFST短柱各部件之间的相互作用及荷载分配规律。在此基础上,进一步开展系统的参数分析,研究内填料石尺寸、钢管壁厚、钢管屈服强度和混凝土强度等参数对SCFST柱轴压性能的影响规律。研究结果表明,不同部件间的相互作用随钢管壁增厚和混凝土强度提高而增大,受内填石料尺寸的影响较小。提出了适用于SCFST短柱的轴压承载力计算式,在研究参数范围内计算式具有较好的计算精度。
  • 赵晖, 张颖, 王蕊
    建筑结构学报. 2022, 43(06): 53-62. https://doi.org/10.14006/j.jzjgxb.2020.0531
    摘要 ( ) PDF全文 ( )   可视化   收藏
    为研究中内钢板中空方形钢管混凝土(CFST)叠合柱的轴压力学性能,以内钢板与钢管的强度和壁厚为参数对8个叠合短柱进行轴压试验,以截面尺寸、钢管内外混凝土强度、钢材强度、纵筋与钢管用钢量分配为参数对81个叠合短柱进行有限元分析,对典型构件受力全过程、各部分接触作用以及承载力进行研究。在美国结构设计规范ANSI/AISC 360-16、欧洲钢结构设计规范BS EN 1994-1-1、GB 50936—2014《钢管混凝土结构技术规范》和T/CECS 663—2020《钢管混凝土加劲混合结构技术规程》的组合柱承载力计算公式中增加内钢板承载力项,得到内钢板中空方形CFST叠合构件的轴压承载力计算式。结果表明:轴压荷载作用下,内钢板中空方形CFST叠合柱钢管外混凝土、内钢板、钢管、纵筋以及核心混凝土能协同工作;内钢板强度与壁厚对构件承载力、延性和刚度影响均较小;截面尺寸和混凝土强度对构件承载力贡献最大,但构件延性随着混凝土强度的增大而降低。在T/CECS 663—2020和ANSI/AISC 360-16的组合柱承载力计算公式中增加内钢板贡献项计算得到的承载力值与试验和有限元结果最为接近。
  • 贾志路, 史艳莉, 王文达, 鲜威
    建筑结构学报. 2022, 43(06): 63-74. https://doi.org/10.14006/j.jzjgxb.2020.0796
    摘要 ( ) PDF全文 ( )   可视化   收藏
    为研究钢管初应力对内配型钢钢管混凝土构件后期受力性能的影响,共设计了12根内配型钢圆钢管混凝土柱进行受压性能试验研究,试验主要参数为初应力系数和荷载偏心率。通过试验研究了内配型钢圆钢管混凝土柱的变形过程、破坏形态及不同参数对构件荷载-变形曲线和受力性能的影响。试验结果表明:初应力系数及荷载偏心率对内配型钢圆钢管混凝土柱最终的破坏形态影响较小,但不同长细比的构件破坏过程有所差异;初应力系数的变化对轴压短柱承载力影响较小,但对偏压柱受力性能有一定影响,随着初应力系数的增大其承载力下降;试验参数范围内,偏心率对柱承载力的影响明显大于初应力系数的影响。基于试验结果对有限元模型的可靠性进行验证,在模型验证基础上,分析钢管初应力对钢管与混凝土之间的相互作用和各部件承载力分配的影响,并进一步分析不同参数(如长细比、偏心率、型钢截面尺寸等)对柱承载力影响系数的影响。结果表明,钢管初应力系数、偏心率和长细比对柱承载力影响系数影响显著,基于此提出考虑钢管初应力时内配型钢钢管混凝土柱受压承载力计算方法,其计算结果与试验和数值结果吻合较好。
  • 金属结构
  • 李帼昌, 王哲渊, 杨志坚, 许伟, 石先硕
    建筑结构学报. 2022, 43(06): 75-86. https://doi.org/10.14006/j.jzjgxb.2020.0751
    摘要 ( ) PDF全文 ( )   可视化   收藏
    为了研究π形拼图板式抗剪连接件受剪性能,以布置贯穿钢筋、腹板间距、翼缘板的朝向、连接件高度及加载方式为变化参数,进行了5组9个组合构件的推出试验。试验结果表明:π形拼图板式抗剪连接件初始抗剪刚度较大,具有良好的延性及耗能能力;布置贯穿钢筋对π形拼图板式抗剪连接件受剪承载力影响较小,对改善组合构件的延性效果明显;随着连接件腹板间距的减小,组合构件的承载力及延性所提高;连接件翼缘板的朝向对组合构件承载力影响较大,翼缘板在下时,组合构件的延性下降明显;连接件高度对承载力影响较大,随着高度增加,初始抗剪刚度及延性增强;在重复荷载作用下,π形拼图板式抗剪连接件仍保留有较高的承载能力,表现出良好的耗能及延性。采用有限元分析方法对连接件受力、破坏模态、传力机制进行分析,利用多元线性回归的分析方法提出承载力计算式。
  • 郭兵, 孔祥博, 吕蕴龙, 孙艳文
    建筑结构学报. 2022, 43(06): 87-94. https://doi.org/10.14006/j.jzjgxb.2020.0653
    摘要 ( ) PDF全文 ( )   可视化   收藏
    为研究支吊架用高强度螺栓咬合型连接的破坏机理与受拉承载力,分别进行了单个螺栓咬合型连接和典型连接的抗拉试验及有限元分析。考虑了槽钢和高强度螺栓规格等参数的影响,单个螺栓抗拉试验中共有66个试件,由六家企业提供。试验结果表明,在螺栓拉力作用下槽钢两侧卷边均绕腹板顶部棱线转动,并形成两条塑性铰线;螺栓安装扭矩对受拉承载力无影响。采用门式支架进行典型连接抗拉试验,按槽钢壁厚不同共设计6个试件。通过试验研究发现,角钢连接件对螺栓产生明显的撬力。为研究单个螺栓连接中槽钢塑性铰线长度和典型连接受拉承载力随固定螺栓间距和槽钢规格的变化情况,又对4个试件补充了有限元分析。结果表明:塑性铰线长度仅与槽钢卷边尺寸有关;角钢连接件的撬力作用能够约束卷边的竖向位移,提高卷边屈服荷载。根据试验和有限元分析结果,给出了单个螺栓连接受拉承载力设计值的计算方法,理论计算值与试验结果吻合较好。
  • 王枫智, 崔瑶, 李浩, 王岩岩, 陈廷国
    建筑结构学报. 2022, 43(06): 95-102. https://doi.org/10.14006/j.jzjgxb.2020.0688
    摘要 ( ) PDF全文 ( )   可视化   收藏
    在非线性分析平台OpenSEEs上,根据设置带削弱段连接板的钢柱脚构造形式及受力特征,以模拟关键部件的力学特征为主,建立可反映柱脚节点在弯矩与轴向力耦合作用下受力性能的简化模型,并通过试验数据验证简化模型的有效性。在此基础上,以连接板削弱段的宽厚比和横截面面积,以及轴压比为参数,建立了9个有限元模型,研究柱脚节点的抗震性能和滞回特征。结果表明:柱脚节点的受弯承载力与连接板削弱段宽厚比无关;当连接板削弱段横截面面积扩大至原来的4倍时,受弯承载力提高至原来的2.3倍;当轴压比由0.2(轴压)变为-0.2(轴拉)时,受弯承载力降低了66.9%。柱脚节点的耗能能力受轴压比的影响较小;当连接板削弱段宽厚比减小为原来的一半时,耗能能力提高了23.5%;当连接板削弱段横截面面积增加为原来的4倍时,耗能能力提高至原来的4.2倍;柱脚节点的自复位能力与连接板削弱段宽厚比无关,与连接板削弱段横截面面积成反比,而与轴压比成正比。综上可知,在恒定的轴压比下,可通过减小连接板削弱段的宽厚比来提高柱脚节点的耗能能力,通过调整连接板削弱段的横截面面积平衡柱脚节点的耗能能力与自复位能力。
  • 曲凯, 杨俊芬, 郝际平, 薛强, 路朋
    建筑结构学报. 2022, 43(06): 103-116. https://doi.org/10.14006/j.jzjgxb.2020.0708
    摘要 ( ) PDF全文 ( )   可视化   收藏
    对国产12.9级高强度螺栓的工程力学性能进行全面测定,为其在建筑结构中的设计和应用以及相关标准的制定和修改提供试验依据。分别通过紧固试验、抗拉试验和剪切试验对不同品牌(A、B、C)和规格(M16、M20和M24)的各72套12.9级高强度螺栓连接副的扭矩系数、抗拉强度和剪切强度进行测定;通过抗滑移试验对72个由B品牌M20螺栓连接的、各采用3种方式处理(喷砂、抛丸和钢丝除锈)的Q235B、Q355B、Q420B连接板表面的连接接头的抗滑移系数进行测定;对5个A品牌M20螺栓制成的材性试样进行拉伸试验获得应力-应变曲线。对试验数据进行正态分布检验并根据统计结果给出12.9级高强度螺栓的扭矩系数、抗拉强度和剪切强度的设计参考值,将抗滑移系数和相关规范中给出的相应值(规范值)进行比较并分析测值较低的原因,建立螺栓材料的非线性和多折线应力-应变本构模型并验证模型精度。研究结果表明:国产12.9级高强度螺栓的扭矩系数和抗拉强度均符合性能标准,剪切强度和抗拉强度设计建议值的比值(0.49)高于二者规范值的比值(0.3);抗滑移系数低于规范值的结果有待进一步研究,原因是接触面的粗糙度不足;非线性模型和多折线模型均能较好地拟合12.9级高强度螺栓材料的单向拉伸应力-应变曲线。
  • 结构减震与抗震专题
  • 刘祎霖, 李易, 赵子栋, 程小卫, 陆新征
    建筑结构学报. 2022, 43(06): 117-127. https://doi.org/10.14006/j.jzjgxb.2020.0753
    摘要 ( ) PDF全文 ( )   可视化   收藏
    节点连接的破坏和失效显著影响装配整体式混凝土框架结构在连续倒塌大变形下的抗力机理、破坏模式和变形能力。为研究装配整体式混凝土框架结构的抗连续倒塌性能,设计了3个1/3缩尺的两跨梁柱子结构试件,开展了拟均布加载下的静力连续倒塌试验和理论计算分析。包含1个现浇对比试件RC和2个采用不同梁柱纵筋连接方式的装配整体式试件PC,即梁钢筋通过机械套筒连接和锚固板锚固、柱钢筋通过半灌浆套筒连接的试件,梁钢筋通过90°弯折锚固、柱钢筋通过约束浆锚连接的试件。试验发现:由于后浇区混凝土强度的提高,装配整体式试件的压拱机制峰值荷载较现浇对比试件分别提高22.9%和20.2%;拟均布加载下,梁最终变形呈曲线,该变形模式下节点需要提供更高的转动能力才能保证梁整体变形满足T/CECS 392—2021《建筑结构抗倒塌设计标准》的挠度要求;在悬链线峰值荷载时相邻跨梁提供的水平约束能有效限制边柱的水平变形和装配式试件的坐浆层滑移。理论计算表明,装配整体式试件的压拱作用的倒塌抗力贡献率低于现浇对比试件,其原因是边柱坐浆层滑移削弱了梁端约束,进而降低了压拱机制承载力。采用能量原理评估了试件的动力倒塌抗力,由于压拱机制下的累积耗能能力较高,装配整体式试件的动力倒塌抗力分别比现浇试件提高了16.8%和18.8%。
  • 谭政, 钟炜辉, 郑玉辉, 孟宝, 宋晓燕
    建筑结构学报. 2022, 43(06): 128-141. https://doi.org/10.14006/j.jzjgxb.2020.0542
    摘要 ( ) PDF全文 ( )   可视化   收藏
    为研究多层组合框架的抗连续倒塌性能,以顶底角钢腹板双角钢连接的三层组合框架子结构为研究对象,通过拟静力试验研究了其在移除中柱工况下的承载能力、破坏模式和变形能力。试验结果表明:子结构在加载过程中呈现多次间断性破坏特征,具体表现为受拉角钢断裂,进而腹板螺栓孔发生承压破坏;通过对子结构内力发展和抗力机制的转换过程进行分析,定量得到了各层不同机制对总抗力的贡献,发现整个加载过程中各层抗力表现出一定差异。基于ABAQUS软件采用多尺度建模方法对多层框架子结构进行抗连续倒塌数值模拟,通过与试验结果对比验证了该简化建模方法的正确性。在此基础上,进一步分析了组合楼板对结构抗倒塌性能的影响,结果表明,组合楼板的存在使得结构在梁机制阶段和悬链线机制阶段的峰值荷载分别提高了54%和117%;通过3种形式加劲肋对顶底角钢节点进行加强,使得多层组合框架子结构首次断裂时荷载分别提高了53%,69%和74%。
  • 钟炜辉, 郑玉辉, 谭政, 孟宝
    建筑结构学报. 2022, 43(06): 142-154. https://doi.org/10.14006/j.jzjgxb.2020.0606
    摘要 ( ) PDF全文 ( )   可视化   收藏
    为研究不等跨顶底角钢腹板双角钢连接组合梁柱子结构的抗倒塌机理,对一个缩尺比1/3的两跨三柱型梁柱子结构进行了单调静载试验。试验结果表明:压拱机制主要提高了组合梁负弯矩区的受弯承载力,通过增强梁机制可以提升子结构的倒塌抗力,角钢发生断裂后,楼板迅速连结剩余构件形成新的传力路径,悬索机制显著发挥;因短跨组合梁率先发生破坏,子结构效能发挥效率仅为83%。在考虑子结构各部件接触关系及损伤演化的基础上,通过组件法对梁柱连接部件进行合理简化;基于OpenSEES形成高效的数值方法,并基于纤维模型进行参数分析,明确高跨比对子结构抗力的影响。研究结果表明,当高跨比较小梁的高跨比大于1/14,高跨比较大梁退出工作后,剩余结构无法提供更高的抗力,角钢断裂时子结构达到峰值荷载;当梁的高跨比小于1/17,钢筋在小变形阶段进入受拉状态,受压区混凝土与钢筋的应力异向加速混凝土的强度退化,并削弱组合梁受弯承载力;高跨比较大梁主导梁机制的发展,其退出工作后梁机制开始下降;双跨梁的不对称轴力可使压拱机制提前退出工作,有利于悬索机制的形成。
  • 郭宏超, 张博明, 李晓蕾, 蔡玉军, 李慧, 高志宏
    建筑结构学报. 2022, 43(06): 155-164. https://doi.org/10.14006/j.jzjgxb.2020.0579
    摘要 ( ) PDF全文 ( )   可视化   收藏
    西安火车站改扩建东配楼项目由三个平面不规则的单体建筑通过大跨度桁架进行连接,结构质量与刚度分布差异较大,且平动与扭转振动反应的耦联效应显著。为研究不规则连体结构的抗震性能,选取子结构进行了1∶10缩尺模型振动台试验,分析设防、罕遇及超罕遇地震作用下结构的破坏模式、动力特性以及加速度、位移、内力响应,评价连体结构的抗震性能。结果表明:在8度设防地震作用下,结构的自振频率呈线性退化,单体频率下降约20%。在8度罕遇地震作用下,框架梁端形成塑性铰,小三角区角柱首先进入塑性工作状态,各区频率降低超过了57%,实测层间位移满足现行GB 50010—2010《建筑抗震设计规范》要求。在9度超罕遇地震作用下,叠层桁架由于位移过大导致扭转效应显著,连接支座处发生破坏,但结构并未发生整体倒塌。连体结构的薄弱部位于第2层,小三角区侧向刚度较弱,建议在该区增设支撑或剪力墙。采用柔性连接能有效降低大跨桁架的地震作用,但面外扭转效应显著,受竖向地震作用影响较大。
  • 刘立平, 李瑞锋, 崔铭, 李英民,
    建筑结构学报. 2022, 43(06): 165-175. https://doi.org/10.14006/j.jzjgxb.2021.0095
    摘要 ( ) PDF全文 ( )   可视化   收藏
    为研究坡地吊脚框架结构的抗震性能,设计了一栋7层的典型RC(钢筋混凝土)吊脚框架结构,提取顺坡向下部3层2跨平面框架子结构(缩尺比例为1/3)为试验对象,开展吊脚平面框架结构的拟静力试验,观察其裂缝开展过程以及破坏形态,分析其滞回性能、承载能力、延性和损伤路径等抗震性能,并探讨吊脚层的破坏形态。结果表明:子结构呈梁柱分别出现塑性铰的破坏模式,首先在第2层的梁端形成塑性铰,接着在吊脚短柱的下端、与该柱相邻的梁端以及第3层中柱的顶端出现塑性铰,最终破坏以吊脚短柱的混凝土压溃、梁端混凝土脱落以及第3层中柱顶端两侧混凝土剥落为标志;子结构吊脚层的破坏路径为由短柱沿斜坡向下至吊脚长柱发展,第2层的破坏路径为从中柱向两侧边柱发展;子结构吊脚短柱的破坏仍以弯曲破坏为主,合理的设计可实现短柱的强剪弱弯破坏模式;吊脚层各柱抗侧刚度的不均匀性导致了结构的吊脚层柱破坏程度的差异,破坏主要集中于吊脚短柱的下端以及与其相邻的梁端。为防止局部严重损伤,宜改善吊脚层各柱间抗侧刚度的不均匀性。
  • 卢俊龙, 程成, 张晨, 王振山, 贠作义
    建筑结构学报. 2022, 43(06): 176-186. https://doi.org/10.14006/j.jzjgxb.2020.0561
    摘要 ( ) PDF全文 ( )   可视化   收藏
    结构开洞对砖石古塔的抗震能力影响显著,为研究不同开洞形式砌体古塔的抗震性能,以玄奘塔中部楼层为原型结构,设计制作了3种洞口开设方式的子结构模型,对其进行低周反复加载试验。观察了模型结构的破坏现象,得到了模型顶点水平荷载-位移滞回曲线与骨架曲线,对比分析了采用不同开洞方式时,模型结构的滞回特性、刚度退化以及耗能能力等。建立子结构有限元模型进行分析,将分析结果与试验结果进行对比。结果表明,在塔体结构平面尺寸相同的条件下,开洞口方式对结构的刚度、承载力及延性的影响显著;单面开洞、双面开洞及四面开洞时结构的破坏模式不同,但均为洞口顶部首先开裂,并与其他墙体内所产生的剪切裂缝将塔体分割为不同形状的破坏单元,改变了荷载原有的传递方式,从而影响结构的破坏模式;有限元分析与试验所得极限水平荷载相差均在15%以内,有限元模型能够较为准确地模拟开洞古塔子结构的受力性能。研究结果可为砖石古塔的抗震性能评估提供依据。
  • 张永兵, 郭新华, 李勇, 杨涛,
    建筑结构学报. 2022, 43(06): 187-195. https://doi.org/10.14006/j.jzjgxb.2020.0717
    摘要 ( ) PDF全文 ( )   可视化   收藏
    为研究橡胶作为柔性连接材料对填充墙钢筋混凝土(RC)框架结构抗震性能的影响,以填充墙与框架之间的连接方式、砌块类型、柔性连接材料以及砂浆强度为变量,开展了7榀1/2缩尺填充墙RC框架的低周反复加载试验,对比分析各框架的破坏特征、滞回曲线、骨架曲线、位移延性、刚度退化和耗能能力等抗震性能指标。结果表明:橡胶作为柔性连接材料,通过自身变形耗能能够增大填充墙的变形空间,减弱填充墙与框架之间的相互作用,有效保护墙体和框架,并使结构的耗能能力得到较大改善;柔性连接填充墙RC框架的承载力介于纯框架和刚性连接填充墙RC框架的承载力之间,但刚度退化、位移延性以及耗能能力等抗震性能指标均优于刚性连接填充墙RC框架的;对于柔性连接填充墙RC框架,橡胶的种类对RC框架的抗震性能有一定的影响,但影响不大。
  • 潘毅, 安仁兵, 陈建, 张启
    建筑结构学报. 2022, 43(06): 196-206. https://doi.org/10.14006/j.jzjgxb.2020.0737
    摘要 ( ) PDF全文 ( )   可视化   收藏
    在古建筑木结构中,木柱通常直接平摆浮搁于础石之上,形成只有受压而无受拉能力的柱脚节点。在地震作用下,木柱会发生摇摆,柱脚为半刚性节点。为研究地震作用下古建筑木结构柱脚节点的摇摆机理,对柱脚节点的受压状态进行分析,并对木柱的摇摆过程进行分类,给出了不同摇摆过程的判定条件,建立了柱脚节点的弯矩-转角(M-θ)力学模型;通过与柱脚节点的弯矩-转角曲线试验结果进行对比,验证了该力学模型的正确性;将该M-θ力学模型应用于古建筑木结构的地震分析中,分别建立了柱脚半刚性连接和铰接的数值模型,并与振动台试验结果进行对比。研究结果表明:木柱的摇摆过程可分为全截面弹性摇摆、小截面弹塑性摇摆、大截面弹塑性摇摆以及全截面弹塑性摇摆等4类;采用M-θ力学模型得到的柱脚节点弯矩-转角曲线计算结果与拟静力试验结果的差异在10%以内;与铰接的柱脚节点相比,采用柱脚半刚性连接计算的古建筑木结构在地震作用下的动力响应更接近振动台试验结果,结构的加速度峰值、位移峰值与振动台试验结果的差异均在20%以内。
  • 赵俊贤, 宋佳雨, 张家广, 于海潮, 刘元珍, 王柏顺
    建筑结构学报. 2022, 43(06): 207-218. https://doi.org/10.14006/j.jzjgxb.2020.0778
    摘要 ( ) PDF全文 ( )   可视化   收藏
    防屈曲支撑(BRB)与框架之间采用的传统焊接节点会约束梁柱开合变形,在强震作用下易使框架先于支撑发生破坏。为释放传统焊接节点对梁柱的刚性约束,提出滑移连接的BRB框架节点,通过对预埋入混凝土内部的连接钢板表面进行无黏结处理,以抗拔不抗剪的方式传递BRB轴力。在滑移节点的工作原理、设计方法和施工流程基础上,对2个基于滑移连接的足尺BRB-框架梁柱组合体开展拟静力试验研究,并与1个传统焊接节点的破坏模式、滞回性能和节点应力进行比较。试验结果表明:当层间位移角达到1/33时,滑移节点的层剪力与传统焊接节点相比降低了34%,有效避免了框架发生剪切破坏;滑移节点的应力水平显著焊接节点的显著降低;在滑移节点与框架梁端设置的附加纵筋可更有效地减小节点区的开合效应和发挥BRB的耗能作用;滑移节点中BRB的滞回性能与传统节点的滞回性能接近。
  • 万怡秀, 徐自国, 纪晓东, 程小卫, 王涛, 赵一鸣
    建筑结构学报. 2022, 43(06): 219-232. https://doi.org/10.14006/j.jzjgxb.2020.0726
    摘要 ( ) PDF全文 ( )   可视化   收藏
    为了研究预应力混凝土(PC)剪力墙的抗震性能,提出剪力墙在拉压变轴力作用下的水平往复加载试验加载制度,完成3片剪跨比为1.0的预应力混凝土墙在恒定轴拉力、恒定轴压力和拉压变轴力作用下的水平往复加载试验,研究其破坏模式、滞回性能、承载力、变形能力、刚度和残余裂缝宽度,并与型钢混凝土(SRC)墙和普通RC墙的抗震性能进行了对比。试验结果表明:恒定轴拉力试验中,预应力混凝土墙发生了腹板剪切破坏;恒定轴力试验中墙体发生了斜压破坏;拉压变轴力试验中,墙体在压剪方向加载时发生剪压破坏。拉压变轴力加载导致预应力混凝土墙拉剪和压剪承载力分别降低了18.7%和10.5%。预应力混凝土墙在恒定轴拉力和拉压变轴力作用下的极限位移角为1.2%~1.6%,变形能力大于JGJ 3—2010《高层建筑混凝土结构技术规程》规定的弹塑性位移角限值(1/100);恒定轴压力试验中水平峰值荷载超过了墙体截面受剪承载力限值,出现斜压破坏,极限位移角仅为0.6%。预应力混凝土墙试件与SRC墙试件的刚度、承载力和变形能力接近,前者的残余裂缝宽度小于后者的,表现出更好的震后可修复性。由于预应力有效抑制了墙体水平贯通裂缝的形成、防止出现沿水平裂面的滑移破坏,因此在较大轴拉力水平时预应力混凝土墙比普通RC墙的抗侧刚度和承载能力均显著提高。总体来看,预应力混凝土墙抗震性能优良,是一种改善高层建筑中受拉剪力墙抗震性能的有效手段。
  • 基础理论与共性技术
  • 徐世烺, 吴平, 李庆华, 周飞, 李锐
    建筑结构学报. 2022, 43(06): 233-244. https://doi.org/10.14006/j.jzjgxb.2020.0587
    摘要 ( ) PDF全文 ( )   可视化   收藏
    超高韧性水泥基复合材料 (UHTCC) 具有超高的延性、优异的能量吸收能力以及良好的耐久性,其在防护结构中有着广泛的应用前景。K&C模型被用于研究混凝土类准脆性材料在动态荷载作用下动力特性,但是该模型无法准确地描述UHTCC这种韧性水泥基材料的各项动态力学特性。为得到适用于UHTCC的K&C模型参数,基于现有UHTCC材料单轴压缩/拉伸、霍普金森杆的压缩/劈裂和三轴压缩试验数据,校核K&C模型中的损伤参数、应变率效应参数以及强度面参数,并采用改进后的K&C模型参数模拟UHTCC靶体在接触爆炸荷载下的动态响应。模拟结果表明:采用改进后的K&C模型参数对爆炸荷载下UHTCC靶板迎爆面的开坑尺寸预测结果与相应文献中的试验结果基本一致,相差在6%以内。同时,改进的K&C模型参数相较于其他K&C模型参数可以更为准确地预测UHTCC靶板在爆炸荷载作用下的损伤分布和破坏形态。为了进一步验证改进的K&C模型参数的准确性,利用LS-DYNA软件预测了弹体高速冲击UHTCC靶体时弹体的侵彻深度和靶体的迎弹面开坑直径,发现模拟结果与文献中的试验结果较为吻合。
  • 赵军, 王帅斌, 王自柯, 王康
    建筑结构学报. 2022, 43(06): 245-256. https://doi.org/10.14006/j.jzjgxb.2020.0502
    摘要 ( ) PDF全文 ( )   可视化   收藏
    通过对51个玄武岩纤维复合材料(BFRP)筋-地聚物混凝土界面黏结试件进行中心拉拔试验,分析了BFRP筋与地聚物混凝土的界面黏结破坏机理,研究了BFRP筋表面形式(浅螺纹、喷砂和深螺纹)、直径d(12、16 mm和20 mm)、黏结长度(2.5d、5d和7.5d)、地聚物混凝土强度等级(C30、C40和C50)及混凝土保护层厚度(20、45 mm和69 mm)等因素对BFRP筋-地聚物混凝土界面性能的影响,并与9个BFRP筋-普通混凝土界面黏结试件中心拉拔试验结果进行比较。试验结果表明:BFRP筋-地聚物混凝土界面黏结强度与BFRP筋-普通混凝土界面黏结强度基本相同;BFRP筋表面形式对其黏结性能影响较大,直径为12 mm时,浅螺纹、喷砂和深螺纹BFRP筋与地聚物混凝土的黏结强度分别为15.33、20.49 MPa和22.66 MPa;随着FRP筋直径和黏结长度的增加,BFRP筋与地聚物混凝土黏结强度降低,而随着混凝土强度和和保护层厚度的增加,黏结强度提高。通过CMR和mBPE模型对试验所得黏结应力-滑移曲线进行拟合,发现CMR模型能够较为准确的描述BFRP筋与地聚物混凝土间的黏结应力-滑移关系。
  • 张伟, 唐站站, 杨艳, 韦建刚,
    建筑结构学报. 2022, 43(06): 257-264. https://doi.org/10.14006/j.jzjgxb.2020.0703
    摘要 ( ) PDF全文 ( )   可视化   收藏
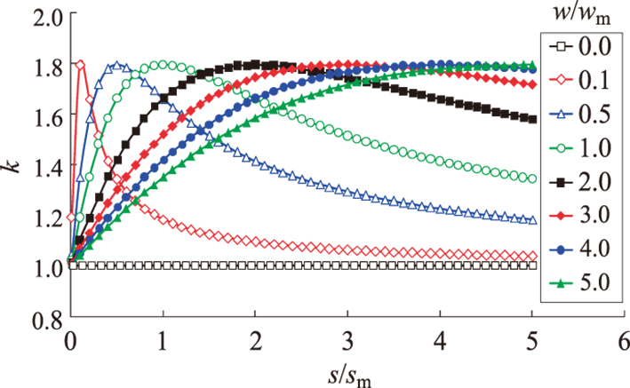
    为研究复合受力模式下碳纤维增强复合材料(CFRP)混凝土界面的剥离行为,提出在界面受压时采用摩尔-库仑强度理论以及在界面受拉时采用抛物线强度理论的损伤判定法则,建立复合受力状态下的界面本构模型。基于本构模型,推导界面的法向和切向应力对相对位移的偏导数,得到界面数值分析时所需要的雅可比矩阵。通过对比文献中4个试件的试验结果,验证了复合受力状态下界面本构模型的适用性。采用所提出的界面本构模型对CFRP增强混凝土进行参数分析,研究剥离角、界面相对位移的权重系数、法向与切向强度比以及CFRP板厚对界面破坏模式的影响。结果表明,提出的复合受力模式下的界面本构模型能够准确地反映界面剥离破坏的过程以及CFRP板的应变分布情况;剥离角度的增加会大大降低荷载峰值及峰值过后的稳定值,稳定剥离阶段的荷载极值不受界面相对位移的权重系数、法向与切向黏结强度比和CFRP板厚因素的影响;在法向出现剥离的临界位置,CFRP板上表面应变呈现出明显的波动现象;根据应变波动的部位,可以推测出CFRP板法向剥离破坏的位置。
  • 姜绍飞, 崔二江, 王娟, 回之正
    建筑结构学报. 2022, 43(06): 265-274. https://doi.org/10.14006/j.jzjgxb.2020.0530
    摘要 ( ) PDF全文 ( )   可视化   收藏
    为了考察碳纤维复合材料(carbon fiber reinforced polymer, CFRP)与混凝土结构在氯盐干湿循环作用下界面黏结强度,开展不同干湿循环周期下混凝土的弹性模量、抗压强度和CFRP混凝土单剪试件界面黏结性能的腐蚀劣化试验研究。通过模拟氯盐的干湿循环作用和自主设计的单剪试验稳定装置,对混凝土基体的腐蚀劣化性能和界面的有效黏结长度进行研究,基于Popovics方程分别对不同腐蚀周期的界面黏结应力-滑移关系和界面断裂能进行研究。在此基础上,分析干湿循环作用下CFRP-混凝土界面黏结强度的劣化机理,并建立界面的时变黏结强度计算模型。结果表明,随着干湿循环周期的增长混凝土基体的弹性模量整体变化不大,而抗压强度则呈现出先增大后减小的趋势,最终腐蚀120 d后较未腐蚀混凝土抗压强度降11.2%;界面的有效黏结长度从未腐蚀的120 mm降低到腐蚀120 d后的72 mm,界面的断裂能也大幅下降。基于Popovics方程得到的腐蚀环境下CFRP混凝土界面黏结应力-滑移关系可揭示界面黏结强度劣化机理,建立的界面时变黏结强度模型有效,可应用于不同干湿循环作用下CFRP混凝土界面黏结强度的计算。
  • 曹国辉, 王礼彬, 张展维
    建筑结构学报. 2022, 43(06): 275-283. https://doi.org/10.14006/j.jzjgxb.2020.0577
    摘要 ( ) PDF全文 ( )   可视化   收藏
    为研究氯盐环境与荷载耦合作用下钢筋混凝土柱的徐变效应,在持荷与氯盐腐蚀环境下,对18根早龄期与标准龄期钢筋混凝土柱进行了202 d的长期试验,钢筋锈蚀率分别为0%、10%、20%,测试了早龄期混凝土柱在轴压、小偏压、大偏压三种受力状态下的徐变行为,并与相同条件下标准龄期混凝土柱的徐变行为进行了对比。结果表明:钢筋锈蚀率为10%时,锈蚀RC柱的徐变系数略低于未锈蚀RC柱的;钢筋锈蚀率为20%时,锈蚀RC柱的早期徐变系数偏低,而后期徐变系数出现较快且持续的增长;受混凝土黏性流动和钢筋锈蚀影响,早龄期RC柱的徐变系数低于理论值。根据钢筋实际锈蚀状况,拟合了钢筋锈蚀率分布函数,并通过黏结退化系数得出对应的徐变折减系数,提出修正的ACI209R徐变模型。通过与试验数据进行对比分析,该修正徐变模型的预测效果较好。当锈蚀率为10%时,模型可靠性高;当锈蚀率为20%时,在持载早期,模型计算值较实测值偏高,但后期两者的差值较小。
  • 姚刚峰, 熊学玉
    建筑结构学报. 2022, 43(06): 284-293. https://doi.org/10.14006/j.jzjgxb.2020.0784
    摘要 ( ) PDF全文 ( )   可视化   收藏
    为获得预应力型钢混凝土(PSRC)受弯梁的变形性能指标限值,收集涵盖45根受弯破坏PSRC试验梁的样本数据,归纳PSRC受弯梁的全过程破坏特点,将其性能水准划分为6个等级,包含5个性能点,且进行相应的宏观损伤描述。5个性能点分别为开裂点、钢材首次屈服点、名义屈服点、峰值点以及失效点等;以挠跨比为变形性能量化指标,研究了综合配筋指标、换算配筋率、预应力强度比、体积配箍率、配箍特征值以及剪跨比等参数对各性能点挠跨比的影响。结果表明:随着综合配筋指标的增大和预应力强度比的降低,开裂点挠跨比减小;随着换算配筋率、剪跨比的增加或配箍特征值的减小,名义屈服点挠跨比增大;峰值点及失效点挠跨比随各参数的变化,离散程度大。基于试验梁的样本数据库,对不同影响参数多种组合方式的挠跨比进行回归分析,得到了各性能点挠跨比限值的回归表达式。基于回归公式得到的预测值与试验值吻合良好,各性能点预测结果与试验结果比值的均值皆为1.0,标准差在0.14~0.30之间。研究结果可用于PSRC受弯构件的性能化设计和抗震性能评估。
  • 赵鹏飞, 叶昌杰, 刘枫, 张强, 张高明,
    建筑结构学报. 2022, 43(06): 294-302. https://doi.org/10.14006/j.jzjgxb.2021.0088
    摘要 ( ) PDF全文 ( )   可视化   收藏
    为解决目前多维多点反应谱法研究中耦合系数积分求解繁琐的问题,基于留数定理提出了一种高效的解析求解方法。该解析求解公式不仅可以考虑行波效应,还可以同时考虑动力与拟静力的耦合、相干效应和方向交叉项等多种耦合效应。将考虑多种效应的耦合系数求解公式转化为解析的形式,不仅其计算结果等价,而且计算效率是积分法的100倍以上,进一步凸显了在多维多点求解问题中反应谱法相较于时程分析法的应用优势,并且使多维多点反应谱法应用于现行结构设计软件变为了可能。基于现行规范的模型假设,提出两种简化算法,使效率优势得到进一步提高。利用多维多点反应谱法,对某高铁站房的工程实例进行计算,并同时程分析法的结果进行对比。两种方法所得结果基本吻合,验证了反应谱法的合理性,且多维多点反应谱法的求解效率远高于多维多点时程分析法的。