2022年, 第43卷, 第04期 刊出日期:2022-04-05
  

  • 全选
    |
    结构抗震及减隔震专题
  • 温卫平, 籍多发, 刘惠华, 翟长海,
    建筑结构学报. 2022, 43(04): 1-7. https://doi.org/10.14006/j.jzjgxb.2020.0304
    摘要 ( ) PDF全文 ( )   可视化   收藏
    近断层脉冲型地震动通常会引发结构严重破坏甚至倒塌,但目前的设计方法仅通过修正设计谱来考虑近断层效应,并不能考虑结构的倒塌储备。为此,在使用近断层设计谱的基础上提出考虑倒塌储备的结构抗震设计方法。基于近断层设计谱和远场设计谱共设计了12个钢筋混凝土(RC)框架结构,分别采用20条近断层脉冲型地震动和远场非脉冲型地震动研究了RC框架结构的倒塌易损性,对比分析了近断层、远场区域结构的倒塌储备系数,发现近断层区域结构的倒塌储备系数小于远场区域结构。为实现近断层、远场区域结构倒塌储备等效,首先给出了以基本周期为变量的结构50%倒塌概率对应的谱加速度的预测公式,然后推导了结构倒塌储备等效方程,并结合设计谱进行数值求解,最后给出了倒塌储备等效条件下以远场区域结构基本周期为变量的近断层区域结构基本周期设计建议公式。结果表明,按照近断层设计谱进行抗震设计能够明显减小结构的倒塌概率,但大部分近断层区域结构的倒塌储备系数仍小于远场区域结构,且平均差别可达20%,综合使用该预测公式和近断层设计谱可以实现近断层、远场区域结构倒塌储备等效。
  • 于晓辉, 周洲, 吕大刚
    建筑结构学报. 2022, 43(04): 8-16. https://doi.org/10.14006/j.jzjgxb.2020.0323
    摘要 ( ) PDF全文 ( )   可视化   收藏
    一次主震过后通常伴有多次余震发生,由于主、余震间隔时间较短,主震损伤结构通常要遭受进一步的余震作用。为了评估震损结构的余震安全,提出了一种损伤状态相关的余震易损性分析方法。该方法采用有限次整体调幅的主余震序列作为输入,利用Park-Ang指数描述结构在主余震序列作用下的主震损伤和累积损伤,基于logistic回归方法生成余震易损性曲线。基于余震易损性,进一步计算余震损伤状态跃迁概率和余震易损性指数来评估震损结构的余震安全。为了进一步说明所提方法的合理性,选择一栋按我国规范设计的5层钢筋混凝土框架结构为研究对象,选取一组真实主余震序列作为输入,生成了结构的损伤状态相关的余震易损性曲线。分别考虑余震危险性水平为结构抗震设计的多遇地震、设防地震和罕遇地震水平,计算了结构的余震损伤状态跃迁概率矩阵和余震易损性指数。分析结果表明:所提出的方法可以有效揭示余震易损性对主震损伤状态的依赖性;随着主震损伤的提高,余震发生更严重破坏的概率显著提高;余震损伤状态跃迁概率和余震易损性指数可以定量评估震损结构在不同危险性余震作用下的安全性。
  • 曲扬, 刘书冬, 程建军, 罗永峰, 马怀章, 王文晋
    建筑结构学报. 2022, 43(04): 17-25. https://doi.org/10.14006/j.jzjgxb.2020.0364
    摘要 ( ) PDF全文 ( )   可视化   收藏
    现有的推覆分析方法在计算空间结构多维地震响应组合值时,采用的“平方根式”组合准则丢弃了响应的正负符号,造成结构响应模式“正向膨胀”的失真现象,且针对响应进行组合的计算方式也丧失了推覆分析能够观察结构弹塑性发展全过程的特有优势。针对此问题,提出空间结构多维地震反应两阶段推覆分析方法,该方法在基于振型刚度的第一阶段非线性推覆分析基础上,引入能够考虑多维地震响应相关性的组合准则,通过振型组合得到多维推覆荷载模式,并对结构进行第二阶段非线性推覆分析得到最终结果,从而在保留地震响应正负符号的前提下,获得符合实际的空间结构灾变破坏模式。将此方法运用于单层球面网壳、双层柱面网壳算例以及上海国际会议中心钢网壳工程实例的多维地震反应分析,并与多维时程分析方法和传统多维推覆分析方法进行对比。计算结果表明:基于推导的多维推覆荷载模式进行两阶段非线性推覆分析,能够准确预测空间结构在多维地震作用下的结构变形形态和响应分布规律,节点位移、单元应力以及屈服杆件数量等结构响应的平均误差基本控制在30%以内,计算精度满足工程要求,大位移区域和高应力区域的结构响应预测效果良好;相比传统多维推覆分析方法,计算精度显著提高,相比多维时程分析方法,计算耗时大大缩减。
  • 许成顺, 张梓鸿, 李洋, 杜修力, 闫冠宇
    建筑结构学报. 2022, 43(04): 26-35. https://doi.org/10.14006/j.jzjgxb.2020.0565
    摘要 ( ) PDF全文 ( )   可视化   收藏
    为研究顶板、中柱的变形能力对地铁地下结构地震破坏反应及破坏模式的影响,开展了4个板、柱具有不同变形能力的地铁地下结构的对比性离心机振动台模型试验。试验中,通过在结构上覆土中掺入一定比例钢砂的方式对上覆土体的竖向惯性效应进行近似模拟。结果表明:中柱是地铁地下结构的关键性抗震构件,在强震作用下,保证中柱的竖向支撑作用是减小地下结构出现整体塌毁破坏风险的关键;在地震作用下,地铁地下结构的板、墙与板、梁交界过渡位置(刚度突变位置) 是结构的薄弱部位,比较容易出现受拉裂缝,在这些部位合理设置一定的构造措施(腋角) 可有效地提高结构抵御裂缝出现的能力;地铁地下结构中柱的顶、底端为该构件的薄弱部位,在地震作用下容易最先产生混凝土开裂甚至剪切破坏现象。
  • 区彤, 刘彦辉, 谭平, 刘雪兵, 周福霖
    建筑结构学报. 2022, 43(04): 36-46. https://doi.org/10.14006/j.jzjgxb.2020.0344
    摘要 ( ) PDF全文 ( )   可视化   收藏
    为了研究高耸型钢钢筋混凝土结构抗震性能,以实际高宽比13.33的高耸型钢钢筋混凝土筒体结构为试验研究对象,提出了考虑重力完全相似模型设计方法及实现策略,设计并制作了1∶20的试验模型,对其进行自由衰减试验及不同地震波激励下的振动台试验,获得了高耸型钢钢筋混凝土外筒体结构的阻尼比,研究了不同幅值不同地震波激励下其加速度响应、位移响应、应变响应和层间剪力的分布规律。试验结果表明:基于考虑重力完全相似设计方法和实现策略设计制作的缩尺试验模型能很好地反映实际结构的特性,自振特性有限元分析结果与试验结果基本一致;高耸型钢钢筋混凝土筒体结构振动时内部耗能较小,第一阶自振周期阻尼比1.123%,小于规范规定值;在设防地震和罕遇地震时结构发生损伤,加速度、层间位移和层间剪力的分布发生较大变化,加速度响应最大值总体从结构上部到下部逐渐增加;层间位移在结构的中部及上部变得不均匀,呈“波浪”形;层间剪力从结构上部到下部基本呈线性增加;高耸型钢钢筋混凝土筒体结构具有良好的抗震性能,型钢与混凝土能协同工作,应变相差较小,钢筋混凝土墙主要受整体倾覆弯矩影响,抗震性能满足规范要求。
  • 石晟, 杜东升, 徐敬海, 王曙光
    建筑结构学报. 2022, 43(04): 47-57. https://doi.org/10.14006/j.jzjgxb.2021.0056
    摘要 ( ) PDF全文 ( )   可视化   收藏
    南京博物院老大殿是经过抬升3m后又进行隔震加固的历史文物建筑,对其进行结构安全性监测并建立预警系统具有重大的工程意义。因此,提出了一种三级预警阈值体系,并以南京博物院老大殿安全性监测系统的实测数据为依据,验证了该阈值系统的有效性和合理性。首先,基于非线性自回归神经网络模型提出一种动态预警阈值设计方法,用于确定第一级预警阈值;然后,选取20条符合当地规范反应谱的地震波,将第二级预警阈值设为非线性动力时程分析得到的支座位移均值;第三级预警阈值设为规范规定的隔震支座在罕遇地震下水平最大允许变形值;最后,提出一种综合预警的实施框架,根据三个级别预警阈值在短期内的超越情况,实现红、黄、蓝三级报警级别的综合评定,作为选择应急预案的基础。通过南京博物院老大殿的OpenSEES模型进行数值模拟,并结合实测数据验证。结果表明,该方法可以有效识别出由支座刚度变化引起的异常位移值。
  • 叶昆, 徐誉铭, 倪管乐, 符蓉
    建筑结构学报. 2022, 43(04): 58-67. https://doi.org/10.14006/j.jzjgxb.2020.0354
    摘要 ( ) PDF全文 ( )   可视化   收藏
    为更加合理地进行基础隔震结构的抗震设计,以使用铅芯橡胶隔震支座(LRB)的基础隔震结构作为研究对象,提出了基础隔震结构直接基于位移设计(DDBD)的一体化抗震设计方法。对于给定地震水准下预先设定的性能目标(即LRB隔震系统最大水平变形和上部结构最大层间位移角),通过所提出的一体化抗震设计方法可以确定LRB隔震系统的力学性能参数并进行上部结构的结构设计。在该一体化抗震设计方法中,首先采用标准的DDBD方法并根据上部结构的目标位移曲线将上部结构等效为一个线性单自由度体系,从而将基础隔震结构等效为两自由度(2DOF)模型;然后通过LRB隔震系统的等效线性化和振型分解反应谱法,建立等效2DOF模型中隔震层和上部结构的位移反应与结构参数之间的解析表达式;基于该解析表达式,结合标准的DDBD方法提出了基础隔震结构直接基于位移设计的一体化抗震设计方法及流程。以一榀典型的钢筋混凝土基础隔震框架结构为算例,给出了使用一体化抗震设计方法的设计步骤和结果,并对所设计的基础隔震结构进行非线性时程分析。时程分析结果证实了该一体化抗震设计方法的有效性,该方法也适用于使用不同类型隔震系统的基础隔震结构。
  • 空间结构
  • 才琪, 冯若强
    建筑结构学报. 2022, 43(04): 68-76. https://doi.org/10.14006/j.jzjgxb.2020.0704
    摘要 ( ) PDF全文 ( )   可视化   收藏
    为了将双向渐进结构优化法应用于桁架结构优化设计中,结合能量原理和满应力设计准则,推导了以结构最小应变能为目标函数的优化计算公式,提出了可以应用于桁架结构优化的桁架-双向渐进结构优化(T-BESO)法。T-BESO法以杆件截面面积为设计变量,以结构应变能为目标函数,以应力约束和满应力设计准则为约束条件。在T-BESO法中,将BESO法表示单元密度的二元离散设计变量修改为表示截面面积的连续设计变量,这使得可以同时对桁架结构进行拓扑优化和尺寸优化;采用能量原理和满应力设计准则简化了桁架结构的灵敏度推导;相比BESO法每次迭代一般只能优化2%的设计变量,T-BESO法可以同时优化所有设计变量;T-BESO法不需要设置体积约束,可以克服传统BESO法由于体积系数设置不合理而导致程序不收敛的缺点。数值算例的优化结果表明,当采用合理的基结构时,T-BESO法的计算结果与解析解的误差在1%以内,这表明了T-BESO法的有效性。
  • 赵艳男, 杜文风, 王英奇, 王辉, 高博青, 董石麟
    建筑结构学报. 2022, 43(04): 77-85. https://doi.org/10.14006/j.jzjgxb.2020.0732
    摘要 ( ) PDF全文 ( )   可视化   收藏
    为实现非均布荷载工况或支撑不规则曲面屋盖情况下的树状结构找形设计,提出了一种基于BP神经网络算法的智能找形方法。该方法将树状结构各支撑点的荷载、跨度及分叉角度作为设计条件,以节点零弯矩和结构稳定性为设计目标,利用人工智能BP神经网络对下层分级节点进行智能定位,由上而下逐级递推实现树状结构的整体几何形态找形。以二维树状结构为例,阐述了智能找形的具体实现方法和步骤,并与逆吊递推找形的结果进行了对比分析。研究结果表明,智能找形方法不仅可以实现所有节点的零弯矩要求,而且分别降低了48.46%和29.01%的等效应力,具有可行性。此外,找形思路和BP神经网络的结合解决了树状结构在承受非均布荷载作用或支撑不规则曲面结构时找形定位难的问题,不仅增强了其应用方面的普适性,而且提升了整个找形过程的高效性和智能性。
  • 赵中伟, 吴谨伽, 于铎, 吴刚
    建筑结构学报. 2022, 43(04): 86-94. https://doi.org/10.14006/j.jzjgxb.2020.0374
    摘要 ( ) PDF全文 ( )   可视化   收藏
    由于美观的造型以及高效的结构效率,树状结构越来越多地应用于大型建筑以及地标性建筑中。树状结构研究的关键除找形问题外,更为关键的问题是最优拓扑的确定,即寻找能够高效承受外部荷载的各分枝之间的连接关系。在前期基于数值逆吊法研究成果的基础上,提出了树状结构的拓扑优化数值算法,该算法根据构件的效能选取移除分枝,最终达到每一级的优化目标。将拓扑优化数值算法与找形算法和构件长度优化算法进行集成,给出了树状结构的智能设计算法体系。该算法可以根据外部荷载分布自动对树状结构找形,并移除低效能构件。直至剩余构件数量达到优化目标为止。采用该算法可以简化力流传递路径,根据荷载分布自动优化构件的空间分布并根据内力优化构件长度。为了防止误删高效能构件,在本算法中设计了构件复活功能,可以激活在找形过程中由低效能转变为高效能的构件。
  • 诸德熙, 邓华, 王玮
    建筑结构学报. 2022, 43(04): 95-102. https://doi.org/10.14006/j.jzjgxb.2020.0255
    摘要 ( ) PDF全文 ( )   可视化   收藏
    几何刚度对张拉整体结构承载刚度的贡献通常与弹性刚度的贡献量级相当,但仅依靠高预应力保证结构承载刚度效果一般。而通过调整结构形状提高弹性刚度并替换部分几何刚度的贡献,可以在保持张拉整体结构承载刚度不变的前提下降低预应力。为此,将杆件原长变化作为基本变量,分析了该变量与单元内力、节点位移以及弹性和几何刚度矩阵的增量关系。建立了反映指定节点的受荷位移增量和单元原长变化量关系的灵敏度矩阵,指出由该灵敏度矩阵的零空间基向量线性组合而成的单元原长增量不会导致承载刚度的变化,但可以调整结构形状和预应力。以结构预应力下降为目标,提出了一种逐步调整结构形状的计算方法以使承载刚度中的几何刚度分量不断被增长的弹性刚度分量所替换。以一个张拉整体悬臂结构为算例,令其末端节点在给定荷载作用下的位移保持不变。分析结果表明:利用所建议的方法可以实现刚度分量的替换并显著降低该结构的预应力;将单元原长变化视为主动驱动,张拉整体具备主动调整形状和单元内力以保持承载刚度的自适应能力。
  • 再生混凝土专题
  • 张建伟, 李宜达, 赵倚榕, 曹万林
    建筑结构学报. 2022, 43(04): 103-113. https://doi.org/10.14006/j.jzjgxb.2020.0562
    摘要 ( ) PDF全文 ( )   可视化   收藏
    为促进高性能绿色建筑结构发展,推动高强钢筋和中高强再生混凝土的工程应用,研发了边缘构件采用环筋扣合连接方式且配置高强纵筋的装配式中高强再生混凝土剪力墙,对6个剪跨比为2.2的装配式混凝土剪力墙进行了低周反复荷载试验。分析了不同再生粗骨料取代率、混凝土强度、边缘暗柱纵筋强度及搭接位置对装配式再生混凝土剪力墙的破坏形态、滞回性能、承载力、延性、刚度退化规律、耗能能力等抗震性能指标以及可恢复性能的影响。试验结果表明:边缘构件配置高强钢筋的装配式中高强再生混凝土剪力墙的破坏形态以弯曲破坏为主;再生粗骨料取代率对装配式中高强再生混凝土剪力墙的承载力、延性和耗能能力影响不大,各剪力墙均具有较好的抗震性能;边缘暗柱采用HRB600纵筋可有效提高装配式中高强再生混凝土剪力墙的承载力、耗能能力和可恢复性能;边缘暗柱纵筋在剪力墙底部塑性铰区搭接,会导致装配式中高强再生混凝土剪力墙的延性明显下降。给出了边缘配置HRB600纵筋的装配式中高强再生混凝土剪力墙水平承载力计算式,计算结果表明普通混凝土剪力墙的水平承载力计算模型同样适用于该装配式剪力墙结构。
  • 熊焱, 赵国伟, 吴迪, 肖茁良, 陈雅欣
    建筑结构学报. 2022, 43(04): 114-123. https://doi.org/10.14006/j.jzjgxb.2020.0472
    摘要 ( ) PDF全文 ( )   可视化   收藏
    为了对再生块体混凝土叠合剪力墙的安全性鉴定和抗震加固提供参考,通过1片预制普通混凝土墙板内现浇自密实混凝土叠合剪力墙和3片预制普通混凝土墙板内现浇自密实再生块体混凝土叠合剪力墙的低周反复荷载试验,研究了不同废旧混凝土块体取代率、轴压比和边缘约束构件钢管厚度对剪力墙抗震性能的影响,对比分析了各剪力墙的破坏形态、滞回曲线、骨架曲线、刚度退化及耗能能力。研究结果表明:预制墙板自密实再生块体混凝土叠合剪力墙与预制墙板自密实混凝土叠合剪力墙均具有较好的抗震性能;两侧预制墙板之间虽然没有设置格构式钢筋,但通过预制墙板内侧界面锯齿状处理方式以及端部钢管混凝土构件的约束,使预制和现浇的叠合墙体能整体协同受力;自密实再生块体混凝土叠合剪力墙的承载能力与自密实混凝土叠合剪力墙的相当;废旧混凝土的掺入对叠合墙体初始刚度、水平承载力、骨架曲线、耗能能力、刚度、破坏位移角和延性的影响不大;在试验参数范围内,钢管厚度和轴压比在一定范围内的增加,有利于改善叠合墙体承载力,提高叠合墙体耗能能力。建立了钢管混凝土边缘约束自密实再生块体混凝土叠合剪力墙的承载力计算式,计算结果与实测结果吻合较好。
  • 吴耀鹏, 姜磊, 张旭, 王永辉
    建筑结构学报. 2022, 43(04): 124-133. https://doi.org/10.14006/j.jzjgxb.2020.0350
    摘要 ( ) PDF全文 ( )   可视化   收藏
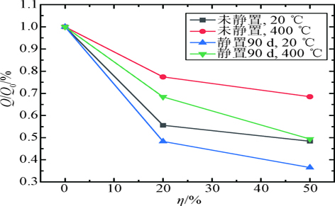
    粉煤灰再生混凝土的工程应用具有重要的经济效益和社会效益,但若遭受高温作用,其力学性能和耐久性将有显著降低。通过高温试验、抗冲击试验和抗氯离子渗透试验,研究了粉煤灰掺量(0%、10%、20%、30%、40%、50%)、温度(20、200、400、600℃)和静置时长(0、90d)对再生混凝土抗冲击性能及抗氯离子渗透性能的影响。结果表明:随着温度和粉煤灰掺量的增加,初裂和终裂的冲击次数逐渐减少。200℃高温后混凝土的抗冲击性能明显下降,其初裂的冲击次数仅为常温混凝土的30%~50%,终裂的冲击次数为常温混凝土的40%~46%。在相同温度下,随着粉煤灰掺量的增加,混凝土的抗氯离子渗透能力增强,并且增加静置时长可大幅增加经历高温后的混凝土抗氯离子渗透能力。常温时,20%和50%粉煤灰掺量混凝土的电通量分别比未掺粉煤灰混凝土的电通量降低44.4%、51.6%。经400℃高温并静置90d后,混凝土的电通量值比未静置的混凝土降低20%~42%。
  • 游帆, 念梦飞, 郑建岚, 罗素蓉
    建筑结构学报. 2022, 43(04): 134-141. https://doi.org/10.14006/j.jzjgxb.2020.0728
    摘要 ( ) PDF全文 ( )   可视化   收藏
    为研究再生骨料混凝土的疲劳性能以及硅灰对其疲劳性能的影响,开展了天然骨料混凝土(NAC)、再生骨料混凝土(RAC)和硅灰再生骨料混凝土(RAC-SF)在3种应力水平下的弯曲疲劳试验,进行了弯曲疲劳寿命的Weibull分布检验,建立了弯曲疲劳寿命概率方程,并利用纳米压痕技术分析了3种混凝土界面过渡区的差异及其对疲劳性能的影响。结果表明:RAC的弯曲疲劳寿命服从两参数Weibull分布,双对数疲劳方程可根据Weibull参数拟合得到;与NAC相比,RAC的多重界面过渡区厚度大、压痕模量低,更易出现裂缝的衍生与开展,使得在相同应力水平下,RAC的弯曲疲劳寿命比NAC低;而硅灰的掺入减小了RAC多重界面过渡区的厚度,提高了多重界面过渡区及新浆体的压痕模量,增强了RAC抑制疲劳损伤的能力,改善了RAC的抗弯曲疲劳性能,延长了使用寿命。
  • 鲍玖文, 于子浩, 张鹏, 李树国, 赵铁军
    建筑结构学报. 2022, 43(04): 142-157. https://doi.org/10.14006/j.jzjgxb.2020.0347
    摘要 ( ) PDF全文 ( )   可视化   收藏
    由于再生粗骨料中存在较多微孔隙和微裂缝,导致再生混凝土吸水率高且极易达到冻融破坏的临界水饱和程度,所以再生混凝土抗冻性能较差,严重危害了严寒地区混凝土建筑物的安全性和耐久性。因此,开展再生混凝土抗冻性能的研究对其在严寒地区的应用推广具有重要意义。基于再生混凝土冻融破坏的国内外研究现状,介绍了混凝土冻融破坏机理,综述了再生骨料品质及掺量、水饱和度、孔结构和矿物掺合料等因素对再生混凝土抗冻性能的影响规律及作用机理,进而总结了再生混凝土结构构件抗冻性能的研究,探讨了改善再生混凝土抗冻性能的技术措施,并对现有的再生混凝土冻融损伤预测模型予以总结。基于已有研究发现,针对再生混凝土抗冻性能的研究要以其实际服役环境为背景,从细微观层次揭示其对宏观冻融损伤机理的影响,并分析其微细观尺度影响机理与宏观性能的关联机制,以此来推动严寒地区再生混凝土的实际工程应用。
  • 混凝土及组合结构
  • 王海深, 康迎杰, 潘鹏,
    建筑结构学报. 2022, 43(04): 158-166. https://doi.org/10.14006/j.jzjgxb.2020.0594
    摘要 ( ) PDF全文 ( )   可视化   收藏
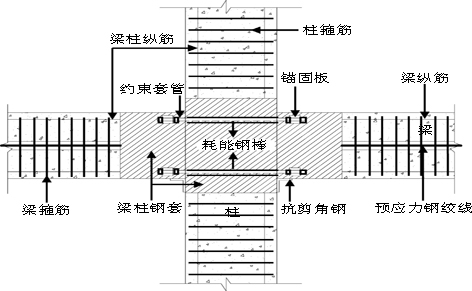
    为研究全装配式自复位耗能钢筋混凝土框架梁柱节点的抗震性能,针对该类梁柱节点开展拟静力试验。该节点采用钢套加固节点核心区梁柱构件,利用在梁截面中心后穿的无黏结预应力钢绞线提供自复位能力,节点区设置可更换低屈服点钢棒提供耗能性能。试验中共制作了5个比例3/5缩尺梁柱节点,研究了该类型梁柱节点在低周往复荷载作用下的滞回性能,并对比分析了钢套加固方式、高强无收缩灌浆料填缝与锚固方式、耗能钢棒锚固方式等不同构造对节点性能的影响,以及梁柱交界面摩擦性能对节点受剪性能的影响。试验结果表明:梁钢套和柱钢套能够保证节点区免于局部受压损伤,但节点区高强无收缩灌浆料在大位移角下易发生边缘压碎损伤;耗能钢棒的螺栓锚固在大位移角下易发生松动,因此,推荐采用焊接锚固形式;梁柱交界面应具备足够的摩擦性能以满足节点抗剪需求;在1/18大位移角下,该节点仍具有良好的自复位和耗能效果,其弹性抗弯刚度、承载力及变形能力均优于现浇节点,大震后仅需更换耗能钢棒即可实现功能快速恢复。在试验研究的基础上,提出了简化有限元模型,可以较好地模拟该类型节点的滞回性能。
  • 肖顺, 李向民, 许清风, 蒋欢军, 高润东, 王卓琳
    建筑结构学报. 2022, 43(04): 167-176. https://doi.org/10.14006/j.jzjgxb.2020.0538
    摘要 ( ) PDF全文 ( )   可视化   收藏
    为了研究预制混凝土剪力墙的套筒灌浆缺陷整治效果,设计了带灌浆缺陷的预制混凝土剪力墙,采用直接补灌法和破型修复法整治后开展了低周反复加载试验,对比了套筒灌浆缺陷整治前后预制剪力墙的抗震性能,考察了整治前后预制剪力墙的破坏特征和滞回性能的变化规律。试验结果表明:所有预制剪力墙发生了墙底截面破坏与套筒连接区域破坏这两种破坏模式。其中带灌浆缺陷预制剪力墙发生了套筒连接区域破坏;整治后预制剪力墙发生了墙底截面破坏,与无灌浆缺陷预制剪力墙相同;带灌浆缺陷预制剪力墙的峰值荷载、累积总耗能值比无灌浆缺陷预制剪力墙分别降低了6%~32%、21%~35%;灌浆缺陷经整治后其峰值荷载、累积总耗能值分别提高了7%~44%、5%~48%;灌浆缺陷对预制剪力墙抗震性能的不利影响随着带缺陷套筒数量的增多而加重;带灌浆缺陷预制剪力墙整治后的承载力、延性、刚度与耗能能力等滞回性能均基本恢复至无灌浆缺陷预制剪力墙的水平。直接补灌法操作简单、安全有效,在实际工程中建议优先采用。
  • 王志滨, 吴扬杭, 余鑫, 高扬虹
    建筑结构学报. 2022, 43(04): 177-185. https://doi.org/10.14006/j.jzjgxb.2020.0302
    摘要 ( ) PDF全文 ( )   可视化   收藏
    圆端形钢管混凝土柱具有外观优美、截面布置灵活、承载力高和施工方便等优点,已被应用于实际工程中。为了研究圆端形钢管混凝土长柱的偏压性能,完成了12根圆端形钢管混凝土柱的偏压试验,变化参数为偏心距和长细比。结果表明:该类柱的承载力随偏心距和长细比的提高而降低,而其延性随偏心距和长细比的提高而增加;达到峰值荷载前,圆端形钢管对混凝土形成一定约束;峰值荷载后钢管发生局部屈曲;受力全过程柱中截面始终保持为平截面,挠曲形状接近正弦半波曲线。然后建立有限元模型,有限元计算结果和试验结果吻合较好。继而开展参数分析,结果表明,稳定系数随着钢材屈服强度、长细比和混凝土强度的增大而减小;混凝土强度、含钢率、长细比和钢材屈服强度对相对轴力-相对弯矩相关曲线有较大影响。最终,基于参数分析修正了圆端形钢管混凝土长柱的轴压和偏压承载力的计算方法,简化计算承载力与实测承载力及有限元预测承载力吻合良好。
  • 章少华, 张锡治, 李星乾, 张天鹤, 丁永君, 孟祥良
    建筑结构学报. 2022, 43(04): 186-197. https://doi.org/10.14006/j.jzjgxb.2020.0332
    摘要 ( ) PDF全文 ( )   可视化   收藏
    为研究预制混凝土管组合柱的受剪性能,完成了12个预制混凝土管组合柱试件和3个预制混凝土空心管对比试件的受剪试验,分析了剪跨比、轴压比、配箍率和填充混凝土强度对各试件受剪承载力、变形性能以及破坏形态的影响。结果表明:各试件均出现剪压破坏模式,主斜裂缝夹角介于28°~41°之间;剪跨比和轴压比对预制混凝土管组合柱受剪性能有较大影响,增大剪跨比使得受剪承载力降低,但变形能力提高显著,增加轴压比使得受剪承载力提高,但变形能力降低;与预制混凝土空心管试件相比,填充混凝土的存在使得预制混凝土管组合柱受剪承载力提高,变形能力显著改善。提出了适用于预制混凝土管组合柱的受剪承载力计算式,其预测值与试验结果吻合较好。
  • 郑永乾, 曾少昔
    建筑结构学报. 2022, 43(04): 198-207. https://doi.org/10.14006/j.jzjgxb.2020.0437
    摘要 ( ) PDF全文 ( )   可视化   收藏
    为研究不同加载角度下T形带肋和多室钢管混凝土构件的纯弯性能,以加载角度(0°、63°、90°、117°和180°)为试验参数,进行了11个T形钢管混凝土构件(包括5个带肋、5个多室和1个无肋)的纯弯试验,获得了破坏形态、弯矩-挠度曲线、应变、受弯承载力和抗弯刚度。建立了不同加载角度下T形构件有限元模型,考虑了残余应力和冷弯强化效应,计算结果与试验结果吻合良好。进行了受弯承载力参数分析,通过在0°基础上考虑加载角度影响的方法,获得不同加载角度情况下T形带肋和多室钢管混凝土构件的受弯承载力简化计算式。研究结果表明:带肋和多室T形钢管混凝土构件在不同加载角度下具有良好的受弯性能,加载角度对T形构件的受弯承载力有一定影响,影响幅度总体在14%以内,在112.5°加载角度附近的受弯承载力最低;设置纵向加劲肋和多室截面形式可使T形钢管混凝土构件的受弯承载力分别提高11%和26%左右,多室构件受弯承载力比带肋构件高;残余应力和冷弯强化对构件初始抗弯刚度影响不大,考虑冷弯强化的受弯承载力比不考虑情况提高7%以上。
  • 基础理论与共性技术
  • 高强, 赵唯坚
    建筑结构学报. 2022, 43(04): 208-219. https://doi.org/10.14006/j.jzjgxb.2020.0329
    摘要 ( ) PDF全文 ( )   可视化   收藏
    为研究套筒灌浆连接的力学性能、工作机理以及套筒内腔构造参数对其力学性能的影响规律,采用堆焊成型套筒及开槽钢筋制作了21个不同参数的接头试件,并进行单向拉伸试验。结果表明:试验范围内接头试件钢筋临界锚固长度在5d和6d(d为钢筋直径)之间,锚固长度小于临界锚固长度时,钢筋发生刮犁式拔出破坏,大于临界锚固长度时,钢筋发生拉断破坏;钢筋应变从套筒端部向套筒中间逐渐减小,套筒轴向应变从套筒端部向中间逐渐增大;套筒端部呈现膨胀,中部呈现径缩;减少套筒内部环肋后,接头试件发生应力重分布,大部分钢筋拉伸荷载由套筒端部有环肋段承担;在锚固长度相同条件下,随着环肋间距减小,接头承载力有所提高,当间距减小到一定程度后其效果钝化;套筒内径变化对接头承载力无明显影响。
  • 高强, 赵唯坚
    建筑结构学报. 2022, 43(04): 220-227. https://doi.org/10.14006/j.jzjgxb.2020.0331
    摘要 ( ) PDF全文 ( )   可视化   收藏
    为研究钢筋套筒灌浆连接在高应力反复拉压作用下的受力性能及工作机理,采用堆焊成型套筒及开槽钢筋设计制作了4个接头试件,对其进行高应力反复拉压试验和单向拉伸对比试验。结果表明:接头试件在20次高应力反复拉压后残余变形约为0.1mm,接头具有较为稳定可靠的使用性能;高应力反复拉压作用对接头的破坏形态和承载力基本无影响,对接头的变形性能有一定影响,钢筋屈服前刚度降低约40%,拉断时伸长率约增加26%;套筒端部区段钢筋的应变分布曲线在拉、压阶段明显不同。经20次循环后,套筒端部区段钢筋在最大拉载时的应变值趋于一致;高应力反复拉压作用对套筒的轴向应变和环向应变基本无影响,钢筋屈服前套筒的约束效果不明显。
  • 冯德成, 吴刚,
    建筑结构学报. 2022, 43(04): 228-238. https://doi.org/10.14006/j.jzjgxb.2020.0491
    摘要 ( ) PDF全文 ( )   可视化   收藏
    混凝土结构的基本性能,如构件破坏模式、承载力、延性等,是结构设计与评估过程中的重要参数。准确地预测混凝土结构的基本性能,直接决定了结构设计与分析的准确度与可靠性。提出了一种基于机器学习的混凝土结构基本性能预测方法,可以根据结构的基本设计参数(如几何尺寸、材料属性、荷载工况等),直接给出其性能指标。同时,利用近年来提出的Shapley additive explanations(SHAP)方法,进行机器学习方法的预测解释,以克服常规机器学习方法的“黑盒子”问题。通过3个实际的应用案例验证机器学习方法的有效性和实用性。结果表明,相比传统的经验模型,机器学习方法具有较高的预测精度和计算效率,且可以给出不同输入参数对于模型输出结果的影响,实现了预测结果的可解释性,是“机理驱动”建模方法的有效补充。