2020年, 第41卷, 第12期 刊出日期:2020-12-05
  

  • 全选
    |
    再生混凝土专题
  • 曹万林, 肖建庄, 叶涛萍, 李六连
    建筑结构学报. 2020, 41(12): 1-16. https://doi.org/10.14006/j.jzjgxb.2019.0551
    摘要 ( ) PDF全文 ( )   可视化   收藏
    再生混凝土绿色、环保,是实现建筑垃圾资源化再利用的重要途径。为了进一步推动钢筋再生混凝土结构的研究发展与工程应用,分析了钢筋再生混凝土梁、板、柱、剪力墙、梁-柱节点及框架结构的受力性能、抗震性能、抗火性能、氯离子侵蚀后性能、徐变及抗冻性能的研究现状及存在的不足,列举了典型工程案例,指出了需要深化研究的问题。研究表明,钢筋再生混凝土梁、板、柱、剪力墙、梁-柱节点及框架结构的上述多数性能较同类钢筋普通混凝土构件(结构)的均有不同程度的劣化,但可通过合理设计实现其与普通混凝土相当甚至更好的性能,可用于实际工程中。
  • 肖建庄, 张凯建, 曹万林, 白国良
    建筑结构学报. 2020, 41(12): 17-27. https://doi.org/10.14006/j.jzjgxb.2020.0105
    摘要 ( ) PDF全文 ( )   可视化   收藏
    由于再生粗骨料来源和废混凝土工程服役情况的复杂性,导致再生混凝土的性能表现出明显的离散性和时变性特点。为保证再生混凝土构件服役期内安全可靠,以再生混凝土的时变应力-应变曲线、碳化性能、保护层开裂等研究成果为基础,同时基于构件的时变可靠度分析,发现再生混凝土抗压强度、梁配筋率、保护层厚度、碳化系数以及钢筋锈蚀率对可靠指标影响显著,进而提出了保证再生混凝土构件时变可靠度水准的方法。结合已经确定的再生混凝土材料分项系数,提出了保持再生混凝土抗压强度标准值与普通混凝土相同,提高构件纵向配筋率/配箍率的设计方法。并给出了考虑时变可靠度的再生混凝土构件承载力计算式,可用于再生混凝土结构设计。
  • 金和卯, 赵新宇, 李卫峰
    建筑结构学报. 2020, 41(12): 28-37. https://doi.org/10.14006/j.jzjgxb.2019.0721
    摘要 ( ) PDF全文 ( )   可视化   收藏
    对再生块体混凝土构件施加外部约束是提高其受力性能的有效途径,通过13根方钢管再生块体混凝土柱试件与10根GFRP增强方钢管再生块体混凝土柱试件的受剪性能试验,考察了废旧混凝土块体取代率、剪跨比、轴压比及环向GFRP层数等参数对试件横向剪力-变形曲线与受剪承载力的影响,检验了采用现有设计公式预测试件受剪承载力的有效性。研究表明:方钢管再生块体混凝土柱及GFRP增强方钢管再生块体混凝土柱的受剪性能受剪跨比和轴压比的影响较大,其横向剪力-变形曲线随上述两参数变化呈现3种典型形态;当废旧混凝土块体取代率低于35%且新、旧混凝土强度差不超过15 MPa时,再生块体对柱受剪性能的影响总体较小;剪跨比不大于0.5时环向粘贴单层GFRP布对柱受剪承载力的提升无明显效果,而双层GFRP布可小幅提高柱的受剪承载力;相比现有钢管混凝土柱受剪承载力计算公式,所提计算式可较好地预测方钢管及GFRP增强方钢管再生块体混凝土柱的受剪承载力。
  • 陈宗平, 廖浩宇, 叶培欢
    建筑结构学报. 2020, 41(12): 38-48. https://doi.org/10.14006/j.jzjgxb.2020.0090
    摘要 ( ) PDF全文 ( )   可视化   收藏
    为研究高温后钢筋再生混凝土柱的偏压性能,以历经温度、再生粗骨料取代率和荷载偏心率为变化参数,设计9个钢筋混凝土柱试件(包括8个高温后试件和1个常温试件)进行静力单调加载试验,观察其表观变化和破坏形态,获取了荷载变形曲线及截面应变,分析各变化参数对混凝土极限压应变、峰值荷载、抗弯刚度和位移延性系数的影响规律。采用ABAQUS有限元分析软件对截面温度场进行模拟,并基于模拟和试验结果对钢筋再生混凝土偏压柱的计算方法进行了研究。研究结果表明:随温度升高或偏心率增大,钢筋再生混凝土柱破坏形态表现为从大偏压向小偏压转变;混凝土极限压应变与历经温度、取代率以及偏心率呈正相关;峰值荷载和抗弯刚度随温度升高或偏心率增大而降低,在600℃时出现陡降,其中抗弯刚度衰减相对更快,而取代率影响相对较小;普通混凝土柱延性更好,而再生混凝土柱在600℃时延性最优,且偏心率越大延性越好;随截面深度增加,截面温度场呈指数函数递减,且取代率增大会加快衰减;最后,综合有限元模拟结果和试验结果提出了偏压柱承载力计算方法,计算结果与试验结果吻合较好。
  • 白国良, 朱超, 王建文, 李祥翔, 刘辉, 路根奎
    建筑结构学报. 2020, 41(12): 49-55. https://doi.org/10.14006/j.jzjgxb.2020.0169
    摘要 ( ) PDF全文 ( )   可视化   收藏
    为研究煤矸石混凝土梁受剪性能,对9个煤矸石混凝土梁和1个普通混凝土对照梁进行了受剪试验,分析了煤矸石混凝土梁斜截面破坏形态、开裂荷载和受剪承载力。结果表明:煤矸石混凝土梁和普通混凝土梁受剪破坏形态相似;在同一荷载等级下,煤矸石混凝土梁试件跨中挠度随煤矸石取代率的增加而增大,而达到各试件极限荷载时其挠度值相差不大;斜向开裂荷载随煤矸石取代率的增加而减小,煤矸石混凝土梁较普通混凝土梁降低了19.6%~31.5%;受剪承载力随煤矸石取代率的增加也有降低趋势,煤矸石混凝土梁较普通混凝土梁降低了8.9%~24.0%;此外,剪跨比和配箍率对煤矸石混凝土梁受剪性能的影响与普通混凝土梁相似,受剪承载力随剪跨比的增加而减小,随配箍率的增加而增加;煤矸石混凝土梁受剪承载力计算可采用GB 50010—2010《混凝土结构设计规范》中公式,且计算结果有一定的安全储备。
  • 刘超, 朱超, 樊金承, 白国良, 肖建庄
    建筑结构学报. 2020, 41(12): 56-63. https://doi.org/10.14006/j.jzjgxb.2020.0089
    摘要 ( ) PDF全文 ( )   可视化   收藏

    为了研究再生混凝土梁长期受弯性能,针对3个不同再生粗骨料取代率(0%、50%和100%)的再生混凝土梁进行了3045d的长期加载以及长期荷载卸载后的受弯性能试验,并将再生混凝土梁在不同阶段的裂缝及变形发展规律与普通混凝土梁进行了对比分析。结果表明:与普通混凝土梁相比,再生混凝土梁裂缝分布具有间距较大、次生裂缝数量较多的特点;再生混凝土梁长期变形具有后延性,在长期荷载卸载后表现出更多的变形恢复特征;卸载后受弯试验过程中,再生混凝土梁钢筋屈服荷载和极限荷载值与普通混凝土梁相比均降低;提出了长期荷载移除后再生混凝土梁二次加载受弯承载力计算公式,建议实际工程的二次受弯承载力折减系数取值为0.85。

  • 王庆贺, 李喆, 周梅, 张玉琢
    建筑结构学报. 2020, 41(12): 64-74. https://doi.org/10.14006/j.jzjgxb.2020.0172
    摘要 ( ) PDF全文 ( )   可视化   收藏
    采用大宗工业固废——自燃煤矸石破碎得到的骨料配制煤矸石混凝土,可一定程度上缓解工程建设对天然砂石的需求。为研究自燃煤矸石粗、细骨料掺量对钢筋混凝土梁受弯性能的影响,设计了3组(每组3个)混凝土抗压强度相同的受弯钢筋混凝土梁试件,包括单掺100%煤矸石细骨料,双掺100%煤矸石粗、细骨料以及钢筋普通混凝土对比试件,通过静力试验得到试件的破坏模式、荷载-位移曲线、荷载-应变曲线等;基于前期试验结果提出自燃煤矸石混凝土的材料性能预测公式,采用ABAQUS软件建立钢筋煤矸石混凝土梁受弯构件有限元模型,利用现有试验数据验证有限元模型的可靠性,并通过足尺模型参数分析进一步量化煤矸石粗、细骨料取代率对钢筋混凝土梁受弯性能的影响。结果表明:采用自燃煤矸石骨料对钢筋混凝土梁受弯承载力的影响较小,相比普通混凝土梁,单掺100%自燃煤矸石细骨料时,开裂弯矩与极限弯矩分别提高5.44%和2.00%,双掺100%煤矸石粗、细骨料时,开裂弯矩与极限弯矩分别降低3.91%和5.91%;自燃煤矸石骨料的掺入对正常使用阶段的抗弯刚度影响明显,采用单掺100%自燃煤矸石细骨料及双掺100%煤矸石骨料时构件抗弯刚度分别降低4.1%和28.1%。煤矸石粗、细骨料对钢筋煤矸石混凝土梁受弯性能的影响是耦合的,与钢筋普通混凝土梁相比,采用单掺50%粗骨料取代率、单掺100%细骨料取代率或者双掺50%粗、细骨料取代率时,钢筋煤矸石混凝土梁的受弯性能指标降低幅度均在10%以内。
  • 吴波, 郭富康, 聂良珍, 简思敏
    建筑结构学报. 2020, 41(12): 75-84. https://doi.org/10.14006/j.jzjgxb.2020.0203
    摘要 ( ) PDF全文 ( )   可视化   收藏
    为提高装配式混凝土结构中预制板、梁的现场施工效率,提出了带外伸齿条的预制板。开展了4个预制装配再生块体混凝土板-梁试件和2个整浇再生块体混凝土板-梁试件的受弯试验,考察了制作方式、板厚及外伸齿条数量对板-梁连接负弯矩区受弯行为的影响,并在某办公楼建筑中对该板-梁连接技术进行了试点应用。试验结果及工程实践表明:预制装配板-梁试件的最大裂缝出现位置与整浇板-梁试件不同;预制装配板-梁试件的极限荷载要高于整浇板-梁试件,但板端外伸齿条数量对极限荷载影响很小;相比于整浇板-梁试件,板厚增加对预制装配板-梁试件极限荷载的提高幅度偏小;与传统预制板、梁的现场拼装相比,带外伸齿条的预制板与预制梁拼装时无需板下临时支撑,可提高施工效率,节省施工成本。
  • 孙煜坤, 刘琼祥, 刘伟
    建筑结构学报. 2020, 41(12): 85-92. https://doi.org/10.14006/j.jzjgxb.2019.0411
    摘要 ( ) PDF全文 ( )   可视化   收藏
    为了研究左右不等高H形钢梁-钢管再生块体混凝土柱异型节点的抗震性能,对2个该类节点试件进行了往复加载试验,考察了再生块体混凝土取代率对节点抗震性能的影响,得到了节点的破坏形式,并建立了节点有限元分析模型,对其抗震性能进行了参数分析。结果表明:在圆钢管混凝土柱异型节点中使用再生块体混凝土,与不使用再生块体混凝土节点相比,其抗震性能差异很小;对于左右不等高H形钢梁-圆钢管混凝土柱异型节点,在加载过程中,上部节点域的应变大于下部节点域的,最终会导致上部节点域发生剪切破坏;在设计时,应以上部节点域作为节点抗剪设计的控制区域;对于合理设计的钢管壁厚,可以避免发生节点区钢管壁剪切破坏。
  • 罗素蓉, 林扬兴, 肖建庄
    建筑结构学报. 2020, 41(12): 93-102. https://doi.org/10.14006/j.jzjgxb.2020.0083
    摘要 ( ) PDF全文 ( )   可视化   收藏
    为提高再生骨料混凝土的断裂性能,通过三点弯曲梁断裂试验,研究钢纤维、钢-PVA混杂纤维对高强再生骨料混凝土(RAC)断裂性能的影响。结果表明:未掺纤维的高强RAC脆性较大,断裂性能差,而钢纤维、钢-PVA混杂纤维对高强RAC的断裂破坏延缓作用明显;钢纤维与PVA纤维混杂后的高强RAC比单掺钢纤维时,其荷载-变形曲线更为饱满且下降段更为平缓;单掺钢纤维时高强RAC的失稳韧度及断裂能显著提升,但起裂韧度基本没有提高,而钢纤维与PVA纤维混杂后RAC各项断裂参数均有明显改善,对其起裂韧度的提升效果较好,在体积掺量为0.2%的PVA纤维与体积掺量为1.0%的钢纤维混杂时混杂效应较优,对高强RAC各项断裂性能的改善效果最为理想。
  • 曹芙波, 刘路, 卢志明, 王晨霞
    建筑结构学报. 2020, 41(12): 103-112. https://doi.org/10.14006/j.jzjgxb.2020.0191
    摘要 ( ) PDF全文 ( )   可视化   收藏
    为了研究锈蚀与冻融循环耦合作用下再生混凝土与钢筋的黏结滑移性能,以钢筋锈蚀率及冻融循环次数为变量,对耦合作用下的钢筋再生混凝土梁试件进行试验,分析其黏结滑移特征值变化规律,并与普通混凝土梁试件进行比较。根据试验结果建立钢筋再生混凝土黏结滑移本构关系。结果表明:各组试件均发生纵筋拔出破坏;在钢筋锈蚀与冻融循环耦合作用下,冻融循环较钢筋锈蚀对黏结性能的影响更大;平均黏结应力-滑移曲线可大致分为线性上升段、非线性上升段、非线性下降段及残余段;再生混凝土试件的各黏结滑移特征值的波动幅度相对于普通混凝土的较大;在钢筋锈蚀与冻融循环耦合作用下,再生混凝土与钢筋间的化学胶着力要优于普通混凝土;普通混凝土的起始黏结应力与极限黏结应力的比值介于0.38~0.49之间,低于再生混凝土试件,再生混凝土抗滑移性能优于普通混凝土的。建立了考虑钢筋锈蚀与冻融循环耦合作用下的钢筋与再生混凝土黏结滑移本构关系,可为北方地区锈蚀率小于3%的再生混凝土梁黏结性能研究提供参考。
  • 杨海峰, 蒋家盛, 肖建庄, 吕梁胜, 邓志恒
    建筑结构学报. 2020, 41(12): 113-121. https://doi.org/10.14006/j.jzjgxb.2020.0085
    摘要 ( ) PDF全文 ( )   可视化   收藏
    为研究不同侧压下再生混凝土与钢筋间的黏结滑移性能,以再生粗骨料取代率、水灰比、侧向压力比为参数,完成了144个再生混凝土试件在单向、双向侧压作用下的钢筋中心拉拔试验,观察了再生混凝土试件的破坏形态,分析了上述参数变化对黏结强度、峰值滑移的影响;基于再生混凝土多轴破坏准则,推导了不同侧压作用下再生混凝土-钢筋的黏结强度理论模型及其简化公式。研究结果表明:再生混凝土中心拉拔试件的破坏形态与侧压力比明显相关,双向侧压力比较大时,试件破坏形态与单向侧压时破坏形态相似,当双向侧压力接近时,双向均有裂缝;黏结强度与峰值滑移随侧压力比的增大,整体呈现增加趋势;基于再生混凝土多轴强度理论的黏结强度计算值与实测值较为吻合,其简化计算公式能较好地预测不同侧压力下再生混凝土与钢筋间的黏结强度。
  • 薛建阳, 张新, 任瑞
    建筑结构学报. 2020, 41(12): 122-132. https://doi.org/10.14006/j.jzjgxb.2019.0859
    摘要 ( ) PDF全文 ( )   可视化   收藏
    为研究往复荷载作用下型钢再生混凝土界面的黏结滑移性能,设计了14个型钢再生混凝土试件并对其进行往复加载试验,分析了型钢再生混凝土的黏结破坏过程,研究了其界面黏结应力分布,在此基础上考察了不同设计参数对型钢再生混凝土界面黏结强度的影响。结果表明:往复荷载作用下型钢再生混凝土界面的黏结破坏过程可分为4个阶段(微滑移阶段、滑移发展阶段、黏结力陡降阶段和残余阶段),对应4个受力特征点(微滑移点、黏结荷载极限点、残余点和破坏点);与单向推出荷载作用相比,往复荷载作用下试件的极限黏结强度最大降低40%左右;加载初期,在正向卸载和正向加载时,黏结应力峰值在固定端附近,且随型钢埋置长度的增大而逐渐减小;在负向加载和负向卸载时,加载端附近黏结应力逐渐变大,试件由两端向中间逐渐破坏;型钢再生混凝土的特征黏结强度随着再生混凝土取代率的增加而降低,随着型钢保护层厚度、体积配箍率和再生混凝土强度的增加而提高。最后建立了型钢再生混凝土的特征黏结强度计算式,并将计算值与试验值进行对比,两者吻合较好。
  • 刘琼, 肖建庄, 潘智生, 李龙
    建筑结构学报. 2020, 41(12): 133-140. https://doi.org/10.14006/j.jzjgxb.2020.0097
    摘要 ( ) PDF全文 ( )   可视化   收藏
    为了更加清晰方便地观察并研究再生混凝土裂缝开展规律,利用模型混凝土的概念,将普通混凝土、废混凝土骨料混凝土和废砖骨料混凝土平面化,制得模型再生混凝土试件。在试件受压破坏的过程中,利用数字图像相关技术在模型混凝土前后两个表面制作不同尺度的散斑,分别用一般工业相机和显微镜相机采集图像,并分析得到全局应变场和界面过渡区附近的局部应变场,用以揭示再生混凝土裂缝开展过程和损伤演化机制。研究结果显示,废砖骨料模型再生混凝土的弹性模量最小,但是抗压强度反而比废混凝土骨料模型再生混凝土的高。废混凝土骨料模型再生混凝土全局应变场能表征应变集中位于旧砂浆区域,但不能区分新、旧界面过渡区,而局部应变场更加细致地显示裂缝首先在旧界面过渡区开展,然后新界面过渡区才有裂缝开展。对废砖骨料模型再生混凝土的分析发现,砖骨料和新砂浆之间的界面过渡区首先出现了应变集中,但是裂缝并未沿界面过渡区开展,而是贯穿了砖骨料,然后位于界面过渡区的应变集中由于应力重分布而削弱。
  • 曹万林, 刘亦斌, 肖建庄, 冯宇, 刘岩
    建筑结构学报. 2020, 41(12): 141-147. https://doi.org/10.14006/j.jzjgxb.2020.0254
    摘要 ( ) PDF全文 ( )   可视化   收藏
    再生混凝土的徐变是工程中亟待解决的基础问题,而目前对于配筋再生混凝土棱柱体徐变的试验研究鲜见报道。为此,对11个配筋再生混凝土棱柱体试件进行长期轴压荷载下的徐变试验,变化参数包括再生粗骨料取代率、再生细骨料取代率和应力比。对比分析了不同设计参数配筋再生混凝土棱柱体的初始应变、徐变应变及变化参数对其长期轴压荷载下徐变的影响。结果表明:再生粗、细骨料的掺入会增大配筋再生混凝土棱柱体的徐变,其中再生细骨料对徐变的影响相对明显;应力比对其初始应变影响较大,较高应力比下配筋再生混凝土棱柱体的徐变应变明显增大;配筋再生混凝土棱柱体徐变过程中截面纵筋与混凝土的应力重分布,钢筋所承担应力的比例增加,其徐变有所减小。基于试验结果,给出了配筋再生混凝土棱柱体在长期轴压荷载下变形计算的实用公式,计算结果与实测变形符合较好。
  • 赵木子, 杨华, 王玉银, 耿悦
    建筑结构学报. 2020, 41(12): 148-155. https://doi.org/10.14006/j.jzjgxb.2020.0119
    摘要 ( ) PDF全文 ( )   可视化   收藏
    对现有再生混凝土徐变试验数据的研究发现,源于不同强度混凝土的再生细骨料对再生混凝土徐变的影响差异较大,而现有模型未计入该差异的影响。因此,基于课题组前期已提出的再生粗、细骨料混凝土徐变模型,引入水灰比系数考虑用于制造再生骨料的废弃混凝土(基体混凝土)强度对残余水泥石物理性质的影响,提出了考虑基体混凝土水灰比影响的再生粗、细骨料混凝土徐变通用模型。基于现有试验结果,对所提出的再生粗、细骨料混凝土徐变模型及已有模型预测结果进行了对比分析。研究表明,修正后的徐变通用模型精度高于已有徐变预测模型,且离散性较低。通过系统参数分析,研究了在工程常见的参数范围内,基体与再生混凝土强度、取代率、再生细骨料吸水率以及环境相对湿度对徐变的影响。分析发现,基体混凝土强度、取代率、再生细骨料吸水率、环境相对湿度是影响再生混凝土徐变的关键参数。
  • 张欢, 王玉银, 耿悦, 王庆贺
    建筑结构学报. 2020, 41(12): 156-164. https://doi.org/10.14006/j.jzjgxb.2020.0111
    摘要 ( ) PDF全文 ( )   可视化   收藏
    对已有研究中再生混凝土干燥收缩试验结果进行分析,发现再生细骨料对再生混凝土干燥收缩的影响随着基体混凝土强度的增大而降低,然而现有再生细骨料混凝土干燥收缩模型均未考虑基体混凝土强度的影响,这会高估采用源于高强混凝土的再生细骨料配制的再生混凝土的干燥收缩变形。基于现有试验结果,引入基体混凝土抗压强度影响系数,对课题组前期提出的再生细骨料混凝土干燥收缩模型进行修正,所提出的修正模型对再生混凝土干燥收缩性能预测结果相对现有其他模型预测结果离散性更小、精度更高,线性回归系数为1.009,判定系数为0.841。在工程常见参数范围内,采用修正模型进行了系统的参数分析,以研究基体/再生混凝土强度、砂率、再生粗/细骨料取代率、再生粗/细骨料吸水率和环境相对湿度等参数对再生混凝土干燥收缩的影响。分析结果表明,再生细骨料取代率的影响随再生粗骨料取代率的增大而降低,但影响依然显著;随着基体混凝土抗压强度的提高,再生骨料对混凝土干燥收缩的影响显著降低,设计中需考虑该因素的影响。
  • 常熤存, 耿悦, 王玉银, 王庆贺
    建筑结构学报. 2020, 41(12): 165-173. https://doi.org/10.14006/j.jzjgxb.2020.0113
    摘要 ( ) PDF全文 ( )   可视化   收藏
    与采用再生混凝土抗压强度计算弹性模量的公式相比,基于两相复合材料的再生混凝土弹性模量预测模型能更好地反映再生粗骨料对混凝土弹性模量的影响,预测结果更为精确。但现有再生混凝土两相复合材料弹性模量预测模型是由再生粗骨料与砂浆的弹性模量按体积加权平均得到的,该种计算方法预测结果偏于保守。目前针对天然骨料混凝土已提出多种两相复合材料弹性模量预测模型,但各模型预测结果有较大差异。基于上述模型,考虑再生粗骨料中残余砂浆的影响,推导得到了6种再生混凝土弹性模量预测模型,并搜集了100组再生混凝土弹性模量试验数据,用于评价各模型的可靠性。在此基础上,统计分析了模型不确定性及其与关键参数之间的相关性,为后续再生混凝土构件与结构的可靠度分析提供统计数据。研究表明,在常见参数范围内,各模型预测结果之间最大可相差23.3%;所提出的BNC(RAC)模型预测精度最高,其预测结果与试验结果比值的均值为1.014,变异系数为8.2%,该模型的不确定性服从正态分布。
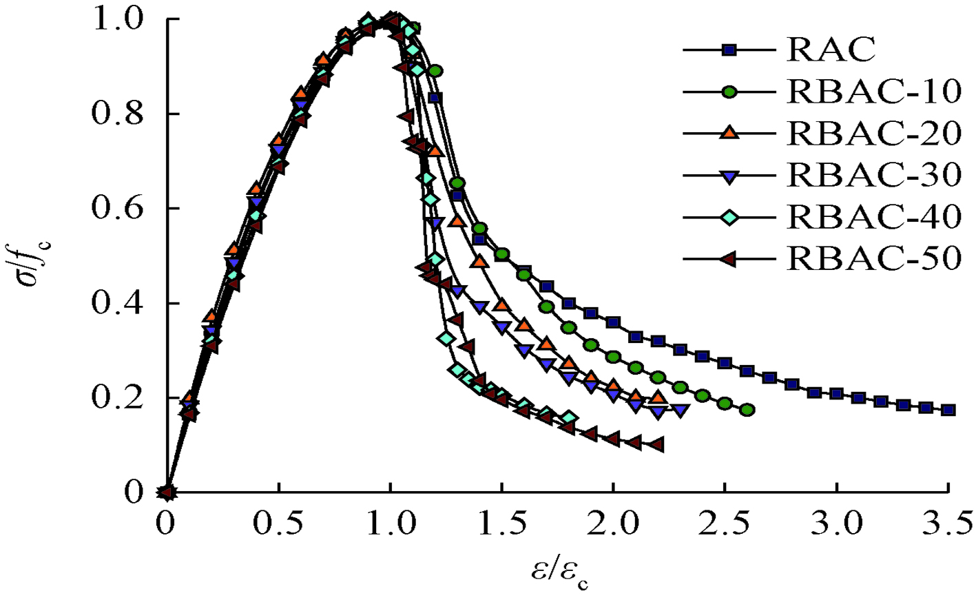
  • 彭有开, 吴超垚, 于佳傲, 林海滨, 梁山, 吴徽
    建筑结构学报. 2020, 41(12): 174-183. https://doi.org/10.14006/j.jzjgxb.2019.0678
    摘要 ( ) PDF全文 ( )   可视化   收藏
    为获得箍筋约束再生混凝土受压应力-应变关系曲线,对17个足尺再生混凝土圆形截面柱进行轴心受压试验,再生粗骨料取代率为50%,加载应变率为(10-6~10-4)/s,主要变化参数为纵筋配筋率和箍筋约束水平。结果表明:箍筋约束再生混凝土的初始弹性模量主要与棱柱体抗压强度有关,棱柱体抗压强度越高,初始弹性模量越大;峰值应力在箍筋侧向约束下显著增大,提高幅度为侧向压应力的4.17~8.77倍,当箍筋提供的侧向压应力较小时,峰值应力增大程度较大,当箍筋提供的侧向压应力较大时,峰值应力增大程度较小;峰值应变随配箍水平增大呈增大趋势。基于试验数据,提出了箍筋约束再生混凝土受压本构关系模型,上升段与Mander模型一致,下降段中引入曲线形状参数,以调整曲线陡峭程度,结果表明,所提出的约束本构关系模型与试验曲线吻合良好,可较好地反映再生混凝土下降段较为陡峭的特点。
  • 陈杰, 耿悦, 王玉银, 孙文景
    建筑结构学报. 2020, 41(12): 184-192. https://doi.org/10.14006/j.jzjgxb.2020.0118
    摘要 ( ) PDF全文 ( )   可视化   收藏
    来源于拆迁工程的废弃混凝土中,不可避免地会混入废弃红砖,碎红砖对再生混凝土力学性能影响显著。为研究含碎红砖再生混凝土的基本力学性能及其受压应力-应变本构关系,以碎红砖掺量为主要试验参数,进行了再生混凝土立方体抗压强度、弹性模量及棱柱体轴心受压应力应变全曲线试验,量化了红砖掺量对再生混凝土力学性能的影响。基于试验结果,引入红砖取代率这一关键参数,对现有再生混凝土应力-应变关系表达式进行修正,提出了含碎红砖再生混凝土应力-应变关系表达式,并将现有试验结果与公式预测结果进行对比,验证了公式的可靠性。研究表明,碎红砖的掺入会降低再生混凝土的抗压强度,显著增大混凝土峰值应变与泊松比,使混凝土横向变形系数在更低的荷载等级下即迅速增大。
  • 王晨霞, 刘路, 曹芙波, 路兰
    建筑结构学报. 2020, 41(12): 193-202. https://doi.org/10.14006/j.jzjgxb.2018.0542
    摘要 ( ) PDF全文 ( )   可视化   收藏
    为了研究再生混凝土冻融循环后的力学性能变化,通过改变冻融循环次数,对不同强度的再生混凝土和普通混凝土的抗冻性能进行试验研究,分析混凝土立方体抗压强度、质量、动弹性模量及超声波损失率的变化规律,并针对内蒙古地区,对不同强度的再生混凝土进行了抗冻耐久性寿命预测,同时对达到寿命服役期的最大抗压强度损失率给出了建议。研究结果表明:冻融循环50次前,再生混凝土与相同强度等级的普通混凝土的抗冻性能相差不大,冻融循环50次后,再生混凝土的抗冻性能略低于普通混凝土的,且随着冻融循环次数的增加,再生混凝土抗冻性能的劣势越来越显著;强度等级对再生混凝土试件的抗冻性能影响较大,强度等级越低,再生混凝土的冻融损伤越严重;超声波对冻融循环作用下再生混凝土的损伤较动弹性模量法更为敏感,建立的冻融损伤模型能够较好地反映再生混凝土冻融循环后的力学性能变化规律。