2020年, 第41卷, 第09期 刊出日期:2020-09-05
  

  • 全选
    |
    结构抗灾与减灾专题
  • 王先铁, 谢川东, 李进, 林麟珲, 罗遥
    建筑结构学报. 2020, 41(09): 1-12. https://doi.org/10.14006/j.jzjgxb.2019.0110
    摘要 ( ) PDF全文 ( )   可视化   收藏
    为了减小“梁增长”现象对自复位框架的影响,提出一种自复位方钢管混凝土框架,该框架由钢管混凝土柱、钢梁及带耗能钢板的自复位梁柱节点组成。对3榀1/3比例的自复位方钢管混凝土框架进行低周往复荷载试验,研究其自复位性能和抗震性能。利用有限元软件ABAQUS对其进行了非线性数值分析,并验证了有限元模型的准确性,同时构建足尺模型研究了钢绞线初始预拉力和耗能钢板耗能段截面积对自复位框架性能的影响。结果表明:加载至2%层间位移角时,自复位框架表现出较好的自复位能力和耗能能力;增大钢绞线初始预拉力,结构承载能力与耗能能力增强,自复位能力先增强后减弱;增大耗能钢板耗能段截面积,结构的承载力随之增大,残余变形亦增大,自复位能力减弱。
  • 唐柏赞, 熊立红, 李小军, 陈苏, 陈华鹏, 黄大维
    建筑结构学报. 2020, 41(09): 13-23. https://doi.org/10.14006/j.jzjgxb.2019.0034
    摘要 ( ) PDF全文 ( )   可视化   收藏
    为研究水泥聚苯模壳(EPSC)格构式混凝土填充墙钢筋混凝土(RC)框架的抗震性能,对一足尺单层EPSC格构式混凝土填充墙RC框架模型进行了振动台试验。试验中考虑了墙体开洞及墙体与RC框架的连接方式,研究了不同强度地震动作用下模型结构的动力特性、加速度反应、位移反应、层间剪力和动应变反应。研究结果表明:连续强震动作用下EPSC裂缝数量较多,部分格构柱水平开裂,而RC框架未发现损伤,EPSC格构式混凝土填充墙RC框架具有良好的抗震性能;模型最大层间位移角仅为1/513,格构式混凝土墙体的存在极大增强了RC框架的抗侧刚度;墙体与RC框架设置不同间距、长度的拉结筋均能提高墙体的平面外稳定性能,可控制墙体与框架协同工作。
  • 张龙飞, 陶忠, 潘文, 吴正佳, 兰香
    建筑结构学报. 2020, 41(09): 24-32. https://doi.org/10.14006/j.jzjgxb.2018.0142
    摘要 ( ) PDF全文 ( )   可视化   收藏
    在山地掉层结构的上、下接地层设置橡胶隔震支座,形成山地掉层隔震结构。为研究山地掉层隔震结构的抗震性能,对某8度抗震设防区掉2层1跨的7层钢筋混凝土框架结构以相似关系1∶10制作了振动台试验模型,通过在试验模型底部安装和拆卸橡胶支座的方法分别进行了掉层隔震与非隔震结构模型的振动台试验,对比分析了山地掉层隔震与非隔震结构模型宏观试验现象、频率变化、楼层加速度、楼层位移以及混凝土应变的区别。结果表明:与山地掉层非隔震结构相比,山地掉层隔震结构的扭转效应减小,地震响应得到有效控制,其抗震性能明显高于非隔震结构,且安全储备高;将隔震技术应用于山地掉层结构中是可行的。
  • 范重, 陈亚丽, 陈巍, 张宇, 刘涛
    建筑结构学报. 2020, 41(09): 33-44. https://doi.org/10.14006/j.jzjgxb.2019.0006
    摘要 ( ) PDF全文 ( )   可视化   收藏
    为了避免抗倒塌性能分析时确定关键构件的盲目性,考虑相邻构件损伤的影响,评估爆损构件残余承载力对结构抗倒塌性能的影响,首先根据航站楼结构的特点与可能遭遇爆炸的危险程度,合理确定大跨度钢结构抗爆关键构件的可能部位。通过对爆炸当量、爆炸距离与结构构件损伤程度关系的研究,确定关键构件及其相邻构件的损伤情况。分别采用移除构件法与多尺度模型对破坏严重的构件进行模拟,考察航站楼结构在爆炸作用下的抗倒塌性能。分析结果表明,箱形钢柱的损伤程度主要与爆心距离和爆炸当量有关,迎爆面的变形远大于背爆面,柱顶斜撑杆的损伤程度与爆炸冲击波的入射夹角关系密切。采用移除构件法进行大跨度结构抗倒塌性能分析时,屋盖的局部变形很大,结构发生局部严重破坏,分析结果偏于保守。通过多尺度模型,可以采用壳单元较为准确地模拟构件在爆炸作用下的损伤情况。由于大跨度的竖向构件具有较大的冗余度,爆损后仍然具有一定的残余承载力,可以有效抑制变形的发展,采用多尺度模型得到的屋盖变形远小于移除构件法的分析结果。
  • 钟炜辉, 谭政, 宋晓燕, 孟宝
    建筑结构学报. 2020, 41(09): 45-55. https://doi.org/10.14006/j.jzjgxb.2019.0209
    摘要 ( ) PDF全文 ( )   可视化   收藏
    为研究不同跨度比对组合梁柱结构抗倒塌性能的影响,以栓焊连接节点组合梁柱子结构(两跨三柱型)为研究对象,以相邻跨度的比值(简称跨度比)为试验参数,对3个不同跨度比(1.4∶1、1.0∶1、0.6∶1)的子结构进行单调静力加载试验,考察了其在中柱失效后的抗倒塌性能。试验结果表明,3个试件的变形形态基本相似,试件在加载过程中表现出多次间断性破坏特征,当失效柱与梁端受拉翼缘连接处发生断裂后,对应梁端截面弯矩急剧下降导致其受弯性能大幅降低,该组合梁的悬链线机制抗力超过梁机制抗力贡献起到主要作用;而未发生破坏的梁,其受弯性能下降不明显,此时主要通过梁机制和悬链线机制共同抵抗外荷载,表现出双跨梁抗力机制的不同步性。试件在梁机制阶段,随着跨度比的减小,3个试件的塑性荷载依次提升,初始断裂位移随之减小,并且相比非等跨试件,等跨试件因双跨组合梁之间的协同作用可使结构在大变形阶段提供高于前期受弯阶段的抗力。引入抗力贡献系数,定量分析了3个试件双跨梁不同的抗力机制分别对总抗力的贡献占比。基于能量平衡原理获得了组合梁柱子结构在突加外荷载作用下的结构动力响应,可将最大动力荷载点作为组合梁柱子结构是否发生倒塌的依据。
  • 徐刚, 张瑞君, 李爱群
    建筑结构学报. 2020, 41(09): 56-67. https://doi.org/10.14006/j.jzjgxb.2019.0150
    摘要 ( ) PDF全文 ( )   可视化   收藏
    夹心剪力墙包含夹心段和暗柱,在装配式夹心剪力墙结构中只考虑暗柱区域的竖向连接。为了研究采用不同连接形式的装配式夹心剪力墙结构的抗震性能,设计了3种连接形式,即湿式连接、干式刚性连接和摩擦耗能连接,并对3种连接形式的装配式夹心剪力墙结构进行了拟静力试验。结果表明:采用湿式连接和干式刚性连接的结构抗震性能基本一致,两者都主要依靠底层的塑性变形耗散能量;夹心构造改变了传统低矮剪力墙容易发生剪切破坏的模式,该类剪力墙主要发生弯曲变形及破坏;在采用摩擦耗能连接的结构中,混凝土结构主体在加载结束时仍保持弹性工作状态,刚度和承载力均较采用刚性连接结构的低,累积耗能未降低,摩擦耗能连接件达到了耗散地震能量和保护混凝土结构主体免遭塑性破坏的目的,底层水平缝处的连接件依靠水平缝的开合位移耗散能量,竖缝处的连接件依靠竖缝两侧墙体的相互错动位移耗散能量;采用摩擦耗能连接的结构需要额外的预应力增大其自复位能力。另外,建立了数值分析模型,采用分层壳和桁架单元分别模拟夹心剪力墙和接缝处的连接件,模拟分析的滞回曲线和主应变分布与试验结果吻合较好,该数值分析模型可用于模拟装配式夹心剪力墙结构在地震作用下的响应。
  • 赵军, 袁维光, 孙玉平, 曾令昕, 司晨哲, 沈富强
    建筑结构学报. 2020, 41(09): 68-76. https://doi.org/10.14006/j.jzjgxb.2019.0116
    摘要 ( ) PDF全文 ( )   可视化   收藏
    为提高钢筋混凝土结构的抗震性能和可恢复功能,设计了4个不同轴压比和不同边缘构件箍筋形式的钢绞线钢筋混凝土剪力墙试件并进行低周反复荷载试验,研究了剪力墙在反复荷载作用下的裂缝发展规律和破坏形态,探讨了轴压比与边缘构件箍筋形式对剪力墙的滞回特性、变形能力、钢筋应力、刚度退化、耗能能力和可恢复性能(残余变形、残余裂缝)的影响。研究结果表明:随着轴压比的增大,试件的侧向变形能力降低,在同一位移角下的水平荷载增大,残余变形有所增大。与边缘构件中配置圆形箍筋的试件相比,配置复合箍筋的试件的极限荷载和侧向变形均有提高,当轴压比相同时,其残余变形较小。
  • 韦宏, 李琼宁
    建筑结构学报. 2020, 41(09): 77-87. https://doi.org/10.14006/j.jzjgxb.2019.0541
    摘要 ( ) PDF全文 ( )   可视化   收藏
    为了研究采用钢板焊接连接的带水平接缝预制装配式钢筋混凝土剪力墙的抗震性能,设计了4个装配式钢筋混凝土剪力墙足尺试件并进行低周往复水平荷载试验,研究参数包括连接钢板厚度、侧向钢板设置和轴压比。结果表明:各试件均为压弯破坏,水平承载力在186~288kN之间,极限位移在25.74~29.37mm之间,滞回曲线为饱满的弓形,延性和耗能能力较好,刚度退化较慢;在连接钢板满足强度要求前提下,增大连接钢板厚度、增加侧向钢板对剪力墙的延性、刚度、承载能力和耗能能力影响较小;提高轴压比可以明显提高装配式剪力墙的刚度和承载能力,但会降低其耗能能力。采用ABAQUS有限元软件对装配式剪力墙抗震性能进行分析,所建立的有限元模型可以较好地模拟装配式剪力墙的受力性能。通过对比采用规范公式计算的承载力与试验承载力,表明可以采用JGJ 3—2010《高层建筑混凝土结构技术规程》中的公式计算文中装配式剪力墙的承载力,并给出了连接钢板的计算方法。
  • 史庆轩, 蔡文哲, 王斌
    建筑结构学报. 2020, 41(09): 88-97. https://doi.org/10.14006/j.jzjgxb.2018.0267
    摘要 ( ) PDF全文 ( )   可视化   收藏
    为了探究斜交网格结构体系中外筒斜柱的破坏机制,对8个钢管混凝土柱和2个钢管柱试件进行了轴向往复加载试验,研究加载路径、长径比、混凝土强度和含钢率对其抗震性能的影响,分析了钢管混凝土柱的破坏机制、破坏形态和滞回性能,并讨论了钢管与混凝土间的相互作用。结果表明:轴向往复荷载下钢管混凝土柱的破坏均由钢管断裂引起,核心混凝土整体保持完好,只在钢管屈曲处存在混凝土压碎现象;相比于空钢管柱,钢管混凝土柱受拉时混凝土对钢管的支撑作用,以及受压时钢管对混凝土的约束作用,保证了其具有更高的承载力、变形能力和耗能能力;钢管混凝土柱在轴压和轴拉荷载下的抗震性能存在显著差别,在轴拉荷载下具有更好的延性和耗能能力,而在轴压荷载下具有更高的承载力和刚度。钢管混凝土柱屈服后钢管对混凝土的约束作用持续增强,并当钢管纵向应变达到8×10-3时,不同参数对其约束效应的影响达到最大。
  • 陈适才, 朱方舟, 彭伟, 闫维明
    建筑结构学报. 2020, 41(09): 98-104. https://doi.org/10.14006/j.jzjgxb.2018.0398
    摘要 ( ) PDF全文 ( )   可视化   收藏
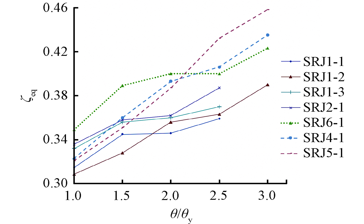
    为研究附加曲线钢板支撑的预制预应力混凝土装配式梁柱节点的抗震性能,对不同截面宽度和不同偏心距离的附加曲线钢板支撑的预制预应力混凝土装配式梁柱节点,以及无支撑装配式梁柱节点对比试件进行低周往复荷载试验研究以及数值模拟分析,研究节点试件破坏形式、承载力、刚度、耗能等变化规律。结果表明:在层间位移角不大于5%时,节点试件具有稳定的受力性能,节点梁端混凝土压碎,同时曲线钢板支撑受弯屈服;曲线钢板支撑可提高预应力装配式梁柱节点试件的承载力、刚度和耗能,随着支撑截面宽度的增加以及偏心距离的减小,节点试件承载力、刚度和耗能逐渐提高;在层间位移角为4%时等效黏滞阻尼系数为0.12~0.20,相对无支撑预应力装配节点提高约2~3倍;在曲线钢板支撑偏心率小于0.3时,节点试件承载力受偏心距离影响较大,偏心率大于0.3时,承载力基本不变。
  • 闫凯, 蔡浩, 张耀, 张鑫
    建筑结构学报. 2020, 41(09): 105-115. https://doi.org/10.14006/j.jzjgxb.2019.0361
    摘要 ( ) PDF全文 ( )   可视化   收藏
    活性粉末混凝土(RPC)是超高性能建筑材料,与高强预应力筋结合形成的预应力RPC梁具有显著的承载、变形和耐久性能优势,但预应力RPC梁的火灾安全性能是制约其广泛应用的关键问题之一。鉴于预应力RPC梁的火灾安全性亟待研究,以荷载水平、预应力筋保护层厚度、预应力筋类型、预应力度等为试验参数,设计制作了8个预应力RPC简支梁,开展了恒定荷载ISO 834标准升温条件下受火试验。获得了梁内温度变化、挠度受火时间曲线、有效预应力、裂缝开展、爆裂分布及深度等试验数据,研究了火灾高温损伤演化规律和破坏模式。结果表明:干热养护可有效抑制RPC高温爆裂,受火试件保持了良好的完整性;荷载水平和预应力筋保护层厚度是影响预应力RPC梁抗火性能的关键因素,随荷载水平的减小和预应力筋保护层厚度的增大,耐火极限显著提高;荷载水平为0.5、预应力筋保护层厚度不小于45mm可满足2.0h的耐火极限要求;同等条件下有黏结预应力RPC梁的抗火性能优于无黏结预应力RPC梁;常温下按适筋梁设计的预应力RPC梁火灾下易发生少筋破坏。
  • 混凝土及组合结构
  • 王斌, 史庆轩, 蔡文哲, 陶毅, 彭一功
    建筑结构学报. 2020, 41(09): 116-126. https://doi.org/10.14006/j.jzjgxb.2018.0230
    摘要 ( ) PDF全文 ( )   可视化   收藏
    为了解决剪力墙变形全过程解耦问题,基于3个T形截面RC剪力墙的拟静力试验,采用高精度无干扰测试手段——粒子图像测速(PIV)技术对塑性铰区内的变形进行了全过程测量和筛分,并据此计算出了剪力墙顶点弯曲位移、剪切位移和滑移位移,结合试件的损伤演化过程分析了各变形分量在加载过程中的变化规律,根据莫尔圆理论讨论了各变形分量对总变形的贡献。结果表明:对于弯曲破坏为主的T形墙,翼缘受拉方向剪切变形所占比重普遍小于翼缘受压方向;在受剪钢筋未达到屈服以及混凝土斜压杆未严重软化的情况下,顶点剪切位移与总位移之比在整个塑性阶段基本保持一定值,该比值可达15%左右,而滑移位移基本控制在总位移的3%以内。因此,在T形截面RC剪力墙变形能力计算时应计入剪切变形而忽略滑移变形的贡献,并合理考虑剪切刚度的退化。
  • 邱俊澧, 周建庭, 廖棱, 张洪, 黎小刚
    建筑结构学报. 2020, 41(09): 127-136. https://doi.org/10.14006/j.jzjgxb.2018.0562
    摘要 ( ) PDF全文 ( )   可视化   收藏
    为探索锈蚀钢筋混凝土梁受弯承载力与自发漏磁的相关性,同时开展了锈蚀钢筋混凝土梁受弯承载力和自发漏磁检测试验。基于法拉第电解第一定律对试件进行不同程度电化学加速锈蚀,并采集了试件锈蚀后的自发漏磁信号,最后采用四点弯曲试验测定试件受弯承载力。结果表明:随着锈蚀加深,试件自发漏磁分量曲线出现愈发明显磁异变峰的同时,受弯承载力逐渐衰减,通过该磁异变峰可确定锈蚀区域并判断受弯承载力大致衰减程度。随着试件受弯承载力持续衰减,漏磁曲线梯度与邻增量均非线性单调增加,且该梯度和邻增量增长快慢均与受弯承载力损失快慢一致。梯度和邻增量均能昭示受弯承载力的大幅衰减,邻增量出现峰值点可作为受弯承载力为零的判据。
  • 王景全, 戚家南, 刘加平
    建筑结构学报. 2020, 41(09): 137-144. https://doi.org/10.14006/j.jzjgxb.2018.0665
    摘要 ( ) PDF全文 ( )   可视化   收藏
    为预测超高性能混凝土(UHPC)残余抗拉强度,通过细观力学分析,研究了纤维对UHPC残余抗拉强度贡献机理,提出了考虑纤维埋深、分布和取向的UHPC细观本构模型。基于UHPC细观本构、受力平衡方程和变形协调条件,建立了UHPC梁受弯分析模型和受弯承载力理论计算方法。经与8个UHPC梁试件受弯试验结果对比发现,文中提出的模型可以较好地预测UHPC梁受弯全过程响应和受弯承载力。基于基准试验梁的不同作用机制受弯贡献比例分析发现,纵筋配筋率从0增至2.5%时,受拉区混凝土对受弯承载力贡献从89.6%降至2.4%;纤维率从0增至3%时,受拉区混凝土对受弯承载力贡献从0增至22.1%。计算结果表明,对于低配筋UHPC结构,混凝土抗拉贡献应予以考虑。
  • 刘哲锋, 王玉奎, 杨伟军, 陈玉平, 胡怡
    建筑结构学报. 2020, 41(09): 145-153. https://doi.org/10.14006/j.jzjgxb.2018.0595
    摘要 ( ) PDF全文 ( )   可视化   收藏
    为了研究钢筋混凝土构件在地震作用下的性能评估方法,建立合理的损伤模型量化损伤,基于对称配筋钢筋混凝土(RC)构件在变幅滞回历程下耗能能力损伤机理,在研究了RC构件耗能能力退化和设计参数之间量值联系和建立耗能能力估算方法的基础上,提出了对称配筋RC构件基于耗能能力退化的损伤量化指数。基于已有不同配筋条件的9个RC构件在变幅历程下的往复加载试验,研究耗能能力损伤量化指数的评价标准。研究表明:提出的耗能能力损伤量化指数可以对不同变幅历程下的损伤过程给出统一的性能划分标准,并提出了RC构件对应于无损、轻度损伤、中度损伤、重度损伤和破坏的5个性能状态的耗能能力损伤量化指数区间;通过PEER数据库中18个受弯破坏试件对该标准进行了验证,结果具有较好的一致性。
  • 张玉芬, 宋义敏, 朱戈, 蒋宗昊
    建筑结构学报. 2020, 41(09): 154-164. https://doi.org/10.14006/j.jzjgxb.2018.0131
    摘要 ( ) PDF全文 ( )   可视化   收藏
    为了研究复式钢管混凝土外加强环板节点滞回性能及核心区变形场,基于数字散斑方法(DSCM)进行了复式钢管混凝土外加强环板节点低周往复加载试验,对节点的梁柱相对转角变化、核心区受剪性能、节点初始转动刚度以及滞回耗能特性等进行了分析。结果表明:节点弯矩-转角和核心区剪力-剪切变形滞回曲线没有捏拢,呈饱满的梭形,说明节点耗能性能良好;提高环板宽度、锚固腹板加肋和轴压比增大均可提高节点初始转动刚度和节点域抗剪刚度;提高梁柱线刚度比可提高节点的受弯能力、耗能能力和节点域剪切变形能力。节点域剪切变形对复式钢管混凝土柱钢梁相对转角贡献较大,占比超过30%。测得的核心区剪应变云图分布基本发展为沿对角线对称,后期随着荷载增加,破坏形态为梁端弯曲的试件节点域剪应变发展较缓,而柱端压弯破坏的试件剪应变发展充分,在整个加载过程中,其节点核心区剪应变为梁端弯曲破坏试件的2~3倍。
  • 金属结构
  • 陈勇, 刘青松, 沈国辉, 邢月龙, 郭勇, 高志林, 胡中正
    建筑结构学报. 2020, 41(09): 165-177. https://doi.org/10.14006/j.jzjgxb.2019.0275
    摘要 ( ) PDF全文 ( )   可视化   收藏
    为研究采用节点板、鞍板、环板加劲的K形相贯节点的受力特性,设计并制作了11个节点试件开展比例加载试验研究,得到其变形、应力分布及破坏模式等受力性能。利用经试验验证的有限元模型,分析了加劲组件和钢管参数对该类加劲相贯节点承载力的影响,并给出了受荷节点的力学模型。有限元分析和试验结果表明,该节点表现出无加劲相贯节点和带鞍板的管-板节点的受力特征,加劲构造能有效提高节点承载力。参数敏感性分析结果表明,增加支管和主管直径比、主管厚度、节点板长度和扇形鞍板圆心角可提高节点极限承载力。给出了极限承载力简化计算方法,计算结果和有限元分析及试验结果吻合较好。
  • 朱礼敏, 王俊, 田春雨, 徐晗
    建筑结构学报. 2020, 41(09): 178-187. https://doi.org/10.14006/j.jzjgxb.2018.0723
    摘要 ( ) PDF全文 ( )   可视化   收藏
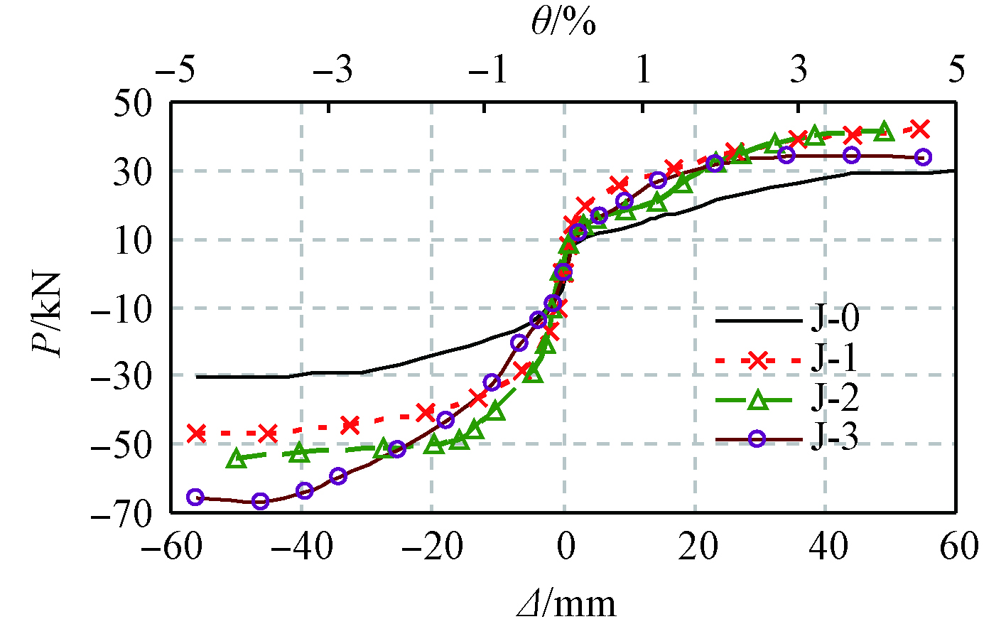
    对于超薄加劲钢板剪力墙,由于钢板超薄,采用传统焊接工艺将导致严重的焊接变形,故需要采用改进焊接工艺,即将钢板墙在加劲肋处断开,进行弯折组合后焊接并形成加劲肋。为研究采用改进焊接工艺完成的超薄加劲钢板剪力墙的受剪性能,进行了足尺试件的受剪性能试验,研究了钢板墙的受剪破坏形态、滞回特性、承载能力及耗能能力等,验证了在竖向加劲肋位置采用的改进连接构造及焊缝工艺满足受剪承载力要求,并对不同钢柱截面、不同墙宽高比对钢板墙受剪性能的影响进行了对比分析。结果表明:采用改进工艺的钢板剪力墙满足受剪承载力要求且具有稳定的耗能能力,随着钢柱截面积增大,钢板墙的侧移刚度、峰值荷载均有所增加,相应的极限位移、耗能能力有所下降;随着墙宽高比减小,钢板墙的侧移刚度、屈服荷载、峰值荷载均相应降低,相应的极限位移、耗能能力有所提高。采用通用有限元分析软件ANSYS对超薄加劲钢板剪力墙的受剪性能试验进行了数值模拟,有限元结果与试验结果总体吻合良好,有限元分析可以很好地模拟超薄加劲钢板剪力墙的全受力过程和破坏模式。
  • 杨文伟, 索雅琪, 陈鹏
    建筑结构学报. 2020, 41(09): 188-197. https://doi.org/10.14006/j.jzjgxb.2018.0395
    摘要 ( ) PDF全文 ( )   可视化   收藏
    管桁结构直接焊接节点焊缝容易发生损伤累积,造成节点局部失效。为此,针对管桁结构直接焊接相贯节点的连接焊缝,制作标准试件进行低周疲劳试验,得到其应力应变滞回曲线、循环应力幅退化曲线和累积耗能变化曲线,研究节点焊材的损伤累积演化规律。结果表明:循环荷载下焊材表现出循环软化现象,与其母材循环特性存在差别,节点抗震分析中应区别考虑二者本构关系;焊材的损伤累积演化规律主要表现为随着循环周数的增加,其循环应力幅值、卸载刚度和耗能能力逐渐减小;焊材损伤累积破坏分三阶段,其中裂纹萌生和破坏阶段应力幅退化较快,裂纹扩展阶段变化较慢;加载应变幅对损伤累积速率的影响表现为加载应变幅值越大,其损伤退化越快,在母材为Q235的焊材中影响更明显;焊缝形式的影响较小,表现为角焊缝的损伤累积稍大于全熔透焊缝。有限元分析中考虑损伤累积影响,得到的焊材损伤累积演化规律与试验结果较为吻合。
  • 黄炳生, 崔海涛, 杨放, 黄泰杰, 张冉阳, 侯晓祥
    建筑结构学报. 2020, 41(09): 198-206. https://doi.org/10.14006/j.jzjgxb.2018.0101
    摘要 ( ) PDF全文 ( )   可视化   收藏
    为研究圆钢管负荷下套管加固后的轴心受压性能,对5根钢管和7根套管加固钢管进行了单调加载静力试验。对钢管的破坏特征、荷载位移曲线、刚度、延性和承载能力及截面应变发展规律进行了分析,研究了长细比、初应力比、径厚比对套管加固钢管受压性能的影响。结果表明:套管加固轴心受压圆钢管能够有效提高钢管构件的刚度、屈服承载力和稳定承载力;套管加固钢管的最终破坏形式未因加固而发生改变;长细比越大,负载钢管加固后刚度、承载能力提高越显著;负载钢管加固后承载能力随初应力比增大而降低,且当初应力比大于0.4时,下降增快;径厚比越大,负载钢管加固后承载能力越低。
  • 灾害调查
  • 郝贠洪, 赵启科, 刘艳晨, 陈超, 吴安利, 史勇
    建筑结构学报. 2020, 41(09): 207-214. https://doi.org/10.14006/j.jzjgxb.2019.0904
    摘要 ( ) PDF全文 ( )   可视化   收藏
    为贯彻落实精准扶贫政策,解决农村群众基本安全住房,统筹做好农村危房改造工作,对内蒙古中西部9个乡镇4817户农村房屋进行实地调研和安全性鉴定等级评价,并根据农村房屋现状和窑洞生土结构、砖木结构等多种危房结构形式的破坏特征提出相应的加固修缮方法,并对加固修缮后房屋的安全性进行评价。结果表明:内蒙古中西部地区房屋的主要结构形式有窑洞生土结构、土坯墙木檩条结构、四角落地结构和砖木结构,其中土坯墙木檩条结构所占比例为94.06%,待修缮改造房屋所占比例为51.48%。通过对农村房屋现状分析,认为房屋破坏主要是由于该地区特殊的气候环境造成的腐蚀、风化、冻涨及未设置抗震构造措施等原因所致。根据4种结构出现的基础不均匀沉降、墙体裂缝、檩条断裂等破坏特征,提出了水泥砂浆面层加固、配筋砂浆带加固等加固修缮的方法。通过对农村危房加固修缮,使房屋的安全性得到明显提高,居住环境也得到了相应改善。