2020年, 第41卷, 第08期 刊出日期:2020-08-05
  

  • 全选
    |
    结构抗震及减隔震专题
  • 周洲, 吕大刚, 于晓辉
    建筑结构学报. 2020, 41(08): 1-18. https://doi.org/10.14006/j.jzjgxb.2018.0706
    摘要 ( ) PDF全文 ( )   可视化   收藏
    基于文献调研,搜集和整理了我国近年来关于建筑结构地震倒塌易损性方面的研究成果,建立了我国建筑结构地震倒塌易损性数据库。基于经典的Cornell地震风险概率计算公式,分别以谱加速度和峰值加速度为地震动强度参数,计算了我国建筑结构的地震倒塌风险概率。通过与美国抗震设计规范FEMA P750和欧洲学者建议的关于建筑结构地震倒塌风险的相关要求进行对比,对我国建筑结构的地震倒塌风险水平进行了评估。分析结果表明: 由于我国现行抗震设计规范GB 50011—2010中并未对结构地震倒塌风险做一致性要求,因此,我国建筑结构的地震倒塌风险概率结果分布较广;随着建筑结构抗震设防等级的提高,其地震倒塌风险概率也随之增加;相比于美国规范和欧洲学者研究成果,我国现行抗震设计规范尚不能对结构的地震倒塌风险进行有效控制。
  • 王丛, 吕大刚
    建筑结构学报. 2020, 41(08): 19-28. https://doi.org/10.14006/j.jzjgxb.2018.0703
    摘要 ( ) PDF全文 ( )   可视化   收藏
    基于GB 50011—2010《建筑抗震设计规范》和GB 18306—2015《中国地震动参数区划图》中给出的地震动强度,对普通建筑结构的风险导向地震动决策参数进行分析,探讨目标倒塌风险、易损性对数标准差,以及大震、中震、巨震条件倒塌概率的取值。基于抗震规范和地震动区划图中的地震动强度进行风险导向地震动决策,验证了决策参数分析结果的合理性,给出了我国单体结构和群体结构的风险导向地震动决策参数建议值,并对风险导向地震动决策参数进行了相关分析。结果表明:对于单体结构,易损性对数标准差取0.3时,目标倒塌风险及大震、中震、巨震的条件倒塌概率分别为1.0%、10.0%、0.04%、54.7%,易损性对数标准差取0.4时,该值分别为1.0%、11.0%、0.2%、44.6%;对于群体结构,目标倒塌风险取1.0%时,易损性对数标准差及大震、中震、巨震的条件倒塌概率分别为0.6、10.4%、1.1%、30.2%,目标倒塌风险取0.4%时,该值分别为0.6、3.6%、0.2%、13.2%。通过分析可以发现:易损性对数标准差不大于0.6时,随着易损性对数标准差的增大,中震的条件倒塌概率逐渐增大,巨震的条件倒塌概率逐渐减小,大震的条件倒塌概率变化不大;易损性对数标准差相同时,随着目标倒塌风险的增大,大震、中震、巨震的条件倒塌概率逐渐增大。
  • 郝霖霏, 前田匡樹, 谭平, 薛松涛
    建筑结构学报. 2020, 41(08): 29-39. https://doi.org/10.14006/j.jzjgxb.2018.0731
    摘要 ( ) PDF全文 ( )   可视化   收藏
    提出了一种震损钢筋混凝土结构残余抗震性能详细评价方法,该方法克服了以日本规范为代表的现有评价方法在应用于同时包含剪切破坏和弯曲破坏构件的复杂破坏模式结构时存在的局限性。该方法基于结构静力推覆分析和结构性能冗余率,能够更详细地考虑构件损伤造成的多方面的性能变化,并且能够判定复杂破坏模式结构的破坏类型及安全界限。以一栋实际震损结构作为工程实例,采用详细评价方法和日本规范评价方法研究其残余抗震性能。结果表明:详细评价方法对于复杂破坏模式结构的评价结果更合理准确;对于脆性破坏型结构,日本规范的评价结果与详细评价方法差别不大,而对于延性破坏型结构,日本规范的评价结果误差较大;另外,通过合理设置构造缝以保证构件的延性,能够显著提高结构震后的残余抗震性能。
  • 熊仲明, 陈轩, 钟雅琼, 张朝
    建筑结构学报. 2020, 41(08): 40-49. https://doi.org/10.14006/j.jzjgxb.2018.0575
    摘要 ( ) PDF全文 ( )   可视化   收藏
    为研究跨地裂缝结构地震作用下的损伤机理与评估方法,通过缩尺比例为1/15的五层跨地裂缝框架结构模拟振动台试验,获得了不同地震波作用下该结构的自振频率变化和裂缝发展规律;采用加权系数法对模型结构进行损伤评估分析,并验证了该评估方法的可行性和合理性。同时采用ABAQUS有限元软件建立了结构跨越地裂缝和处于无地裂缝场地两种分析模型,进行了在高烈度地震作用下跨地裂缝结构构件和整体损伤分布规律的研究,以确定跨地裂缝结构损伤位置和损伤程度的内在关系。研究结果表明:跨地裂缝结构构件损伤分布表现出明显的上、下盘规律,即距地裂缝相同位置处,地裂缝上盘的梁柱构件损伤指数均大于下盘构件;跨地裂缝结构底层损伤指数远大于其他楼层,底层是该类结构的薄弱层;在相同峰值加速度地震作用下,处于非地裂缝场地结构整体损伤指数小于跨地裂缝结构,地裂缝的存在加剧了上部结构的损伤破坏。
  • 冀昆, 温瑞智, 任叶飞
    建筑结构学报. 2020, 41(08): 50-57. https://doi.org/10.14006/j.jzjgxb.2018.0489
    摘要 ( ) PDF全文 ( )   可视化   收藏
    传统云图法和条带法计算工程需求概率危险性曲线(EDHC)时,存在地震危险性水平不可控、理想假设过多和计算成本较大等弊端。在第三代性态地震工程的框架思路下,对现有条带法进行改进,以条件目标谱作为记录选取依据,得到了考虑场址地震危险性特征的EDHC改进计算方法。采用自振周期约为1.0s的10层钢筋混凝土平面框架作为结构算例进行验证。以中国某场址地震安全性评价实例为设定地震解耦依据,构建不同场址地震动危险性水平下条件周期T=1.0s的条件目标谱簇。在进行多危险性水平下的记录选取后,采用改进条带法计算目标结构最大层间位移角和顶层位移的EDHC曲线。与传统云图法的计算结果对比表明,云图法的诸多假设在高地震动输入水平下并不严格成立,最终导致EDHC曲线在年超越概率不大于2%时被显著高估。而采用改进条带法的计算结果表明,即使采用与结构自振周期相关性较弱的0.01s作为条件周期进行后续调幅和选波,与基于Sa(T=1.0s)的EDHC计算结果依然可以保持较好一致性。研究结果证明:该方法可以控制各调幅条带下记录的地震危险性水平一致,且与选择的地震动强度指标无关,可以在计算工程需求概率危险性时合理考虑目标场址的地震危险性特性。
  • 黄志坚, 苏成, 谭平, 马海涛
    建筑结构学报. 2020, 41(08): 58-67. https://doi.org/10.14006/j.jzjgxb.2019.0109
    摘要 ( ) PDF全文 ( )   可视化   收藏
    隔震结构由于其优越的抵御地震能力而在实际建筑工程中得到了广泛的应用。针对建筑隔震结构,我国GB 50011—2010 《建筑抗震设计规范》所推荐的水平向减震系数法,通过引入水平向减震系数修正未采取隔震措施结构的反应谱法结果,间接获得采取隔震措施后结构的地震响应。该法具有较强的操作性,但其合理性一直受到工程界的关注。针对隔震结构的局部非线性行为,建立隔震结构地震响应的时域显式表达式,利用其降维列式优势实现隔震装置局部非线性自由度的高效降维迭代计算。结合随机模拟方法,统计获得非线性隔震结构在地震作用下的层间剪力。在此基础上,针对等效线性隔震结构反应谱法得到的层间剪力进行校准,获得各楼层层间剪力校准系数,然后采用该系数调整反应谱法计算得到的等效线性隔震结构各楼层的构件内力。采用所提出的层间剪力校准系数法和规范推荐的水平向减震系数法,对两个基础隔震结构进行地震作用效应分析,结果表明所提出方法能有效提高隔震结构地震响应的计算精度。
  • 李英民, 唐洋洋, 姜宝龙, 姬淑艳, 刘立平
    建筑结构学报. 2020, 41(08): 68-78. https://doi.org/10.14006/j.jzjgxb.2018.0528
    摘要 ( ) PDF全文 ( )   可视化   收藏
    为研究具有不等高基础约束的山地掉层框架结构的地震响应特征和破坏机理,及其与等高基础约束的典型框架结构的差异,设计和制作了总层数均为6层的1/8缩尺掉层RC框架结构和典型RC框架结构模型。通过振动台试验,对两者不同地震强度时的试验宏观现象及动力特性、加速度响应、位移响应、层间位移角等进行对比研究。试验分析表明:掉层RC框架结构的振型曲线及顺坡向的变形特征与典型框架结构不同,掉层RC框架顺坡向的整体变形并非剪切型,且有明显的扭转效应;掉层框架结构的破坏形式不同于典型框架结构,典型框架最终表现为部分楼层屈服机制,而掉层框架的柱铰最先出现于上接地柱端,随地震强度的增大,柱端塑性铰向掉层部分转移,掉层接地角柱底部损伤增加显著,结构在罕遇地震及更高强度的地震作用下能保证较好的整体性,但上接地柱破坏较严重。
  • 李国强, 张文津, 王彦博, 孙飞飞, 金华建
    建筑结构学报. 2020, 41(08): 79-87. https://doi.org/10.14006/j.jzjgxb.2018.0626
    摘要 ( ) PDF全文 ( )   可视化   收藏
    双段消能摇摆结构体系是通过两段串联的摇摆结构,控制主体结构各楼层在地震作用下均匀变形,抑制薄弱层的产生,也降低了主体结构对于摇摆结构的刚度需求。在变形集中的摇摆结构底部布设位移型阻尼器,可进一步提高结构的抗震性能。但是该体系存在承载力较低、上段结构地震反应相对较大的不足。基于此,提出了消能摇摆高位隔震结构体系,即在双段消能摇摆结构体系的分段楼层位置增设劲性支撑,以抑制上段结构的摇摆运动,提高结构的刚度与承载力;同时,下段结构允许发生摇摆,发挥高位隔震层的作用。以消能摇摆高位隔震结构体系为研究对象,分析对比了其他三种结构体系:传统支撑框架结构体系、双段消能摇摆结构体系、不含位移型阻尼器的摇摆高位隔震结构体系。采用OpenSees软件建立了弹塑性有限元分析模型,对四种结构体系进行弹塑性抗震分析和增量动力时程分析。研究表明,消能摇摆高位隔震结构体系的刚度与承载力较高,地震反应较小,抗震性能与抗倒塌性能良好。在摇摆结构分段位置加设劲性支撑层,可以抑制上段结构在地震作用下的变形,并发挥下段摇摆结构的隔震作用。布设于分段位置与摇摆结构底部的阻尼器,可以充分消耗地震能量,提高结构体系的抗震性能。
  • 赵均海, 胡壹, 张冬芳, 陈晨
    建筑结构学报. 2020, 41(08): 88-96. https://doi.org/10.14006/j.jzjgxb.2018.0688
    摘要 ( ) PDF全文 ( )   可视化   收藏
    为实现钢管混凝土框架完全装配式施工,提出了装配式复式钢管混凝土柱钢梁框架结构,该结构包含复式钢管混凝土装配式柱柱拼接节点和装配式加强块梁柱节点。为研究这些连接形式对复式钢管混凝土框架抗震性能的影响,完成了3榀1∶2缩尺框架模型(包括1榀节点栓焊连接框架、1榀装配式节点框架和1榀柱与节点全装配式框架)的拟静力试验,得到各试件的破坏模式、滞回性能、延性、刚度与承载力退化。3个模型均表现出良好的承载能力和延性,试验模型的最大层间位移角超过4%,位移延性系数大多超过4。结果表明:传统连接复式钢管混凝土框架和采用装配式方案后的框架均具备良好的抗震性能;所提的柱柱拼接节点性能可靠,对框架的承载力、刚度和延性的影响很小;所提的加强块梁柱节点可有效改善框架的延性,并略提高框架的承载力。
  • 结构耐久性专题
  • 贾良玖
    建筑结构学报. 2020, 41(08): 97-104. https://doi.org/10.14006/j.jzjgxb.2017.0396
    摘要 ( ) PDF全文 ( )   可视化   收藏
    强震下钢结构构件会发生局部或整体屈曲,造成构件局部塑性应变集中,导致构件在反复荷载作用下最终发生断裂,因此有必要开展大塑性应变循环加载下局部屈曲和后续延性断裂的耦合破坏机理研究。通过热处理冷弯方钢管短柱的超低周疲劳试验,对上述破坏机理进行了研究。试验考察了宽厚比和加载历史对于方钢管短柱屈曲后断裂模式及抗震性能的影响,并给出了累积延性评估方法。试验结果显示:所有试件受压时承载力的下降皆由局部屈曲导致,而受拉侧承载力的退化则由延性断裂造成;构件的累积塑性耗能可分解为各向同性强化耗能和随动强化耗能,且两者受拉时对应值呈线性关系。
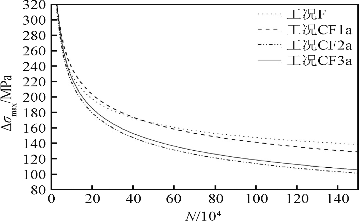
  • 祖云飞, 李正良, 范文亮, 刘福强, 杨晓阳
    建筑结构学报. 2020, 41(08): 105-115. https://doi.org/10.14006/j.jzjgxb.2018.0652
    摘要 ( ) PDF全文 ( )   可视化   收藏
    目前,高强钢在建筑结构中逐渐得到广泛应用,而其耐候性和疲劳性能对结构安全影响较大。对于长期暴露在野外大气环境中的结构,如输电铁塔,因长期受风致振动和大气环境中酸雨腐蚀的耦合作用,易发生腐蚀疲劳破坏甚至倒塌,所以研究酸雨大气环境下高强钢(如输电塔常用钢Q420B)的腐蚀疲劳性能具有重要意义。为此,对43根Q420B等边角钢在模拟酸雨大气作用下的腐蚀疲劳性能进行了研究,并基于简化的单点似然法及单点成组法拟合了其应力-疲劳寿命(Δσ-N)曲线和不同保证率p下的pΔσN曲面。研究结果表明:酸雨大气环境缩短了Q420B角钢在中低荷载水平下对应的中长期疲劳寿命,而对高荷载水平下对应的短期疲劳寿命影响不大;环境因素对角钢的腐蚀疲劳性能有显著的影响,在模拟试验中,腐蚀液的pH值越低,间隔喷雾时间越长,相同荷载下角钢的腐蚀疲劳寿命越短。
  • 赵晓青, 岳清瑞, 幸坤涛
    建筑结构学报. 2020, 41(08): 116-123. https://doi.org/10.14006/j.jzjgxb.2018.0708
    摘要 ( ) PDF全文 ( )   可视化   收藏
    钢吊车梁直角式突变支座在工业厂房中广泛应用,工程经验表明钢吊车梁直角式突变支座插入板端部与腹板连接焊缝易出现疲劳裂纹,且通过有效的点检制度可以避免灾难性的事故发生。开展了钢吊车梁直角式突变支座缩尺模型的疲劳试验,得出该类连接的应力幅-疲劳寿命(S-N)曲线,确定了疲劳裂纹的初始位置为小圆孔下侧。通过截面参数分析得出,小圆孔处应力集中系数与插入板板厚呈正线性相关、与圆孔直径呈负线性相关。采用VCCT法和网格重划分技术,针对钢吊车梁直角式突变支座插入板端部开展了疲劳裂纹扩展模拟,明确了该类构件的疲劳裂纹扩展模式。结合SN曲线法、概率断裂力学法,建立了适用于钢吊车梁直角式突变支座的插入板端部的概率损伤容限分析方法,分析得到在不考虑荷载、断裂韧度随机性时,其疲劳寿命不拒绝服从对数正态分布。
  • 结构抗火专题
  • 李俊华, 张磊, 顾炬锋, 何思聪
    建筑结构学报. 2020, 41(08): 124-133. https://doi.org/10.14006/j.jzjgxb.2018.0638
    摘要 ( ) PDF全文 ( )   可视化   收藏
    型钢混凝土结构在高层、超高层建筑中得到广泛应用,其受火后的受力性能也备受关注。为此,通过1榀受火后型钢混凝土柱型钢混凝土梁组合框架的低周反复荷载试验和1榀未受火框架的对比试验,研究受火后型钢混凝土框架的抗震性能。获得了受火后型钢混凝土框架的滞回特性、延性、耗能性能、承载力与刚度退化规律,分析了常温下及受火后型钢混凝土框架的累积损伤过程和PΔ效应。结果表明:与常温未受火框架相比,受火后型钢混凝土框架的承载力减小、刚度下降、延性降低,反复荷载下的累积损伤增大,P-Δ效应更为明显。但是由于构件中核心型钢的存在,受火后的型钢混凝土框架的滞回曲线依旧饱满,破坏前能保持较高的持载水平,具有良好的耗能性能和抗荷载循环能力,框架的塑性极限转角超过0.03rad,仍能满足我国GB 50011—2010《建筑抗震设计规范》规定的塑性转角限值要求。
  • 陈玲珠, 韩重庆, 许清风, 邵棚, 王明谦, 程杰
    建筑结构学报. 2020, 41(08): 124-133. https://doi.org/10.14006/j.jzjgxb.2019.0027
    摘要 ( ) PDF全文 ( )   可视化   收藏
    为研究受火后钢筋混凝土吊车梁的维修加固方法,开展了粘贴CFRP布和粘贴钢板加固受火后足尺吊车梁受力性能的试验研究、理论分析和有限元分析。结果表明:未受火对比试件发生受拉区钢筋屈服、受压区混凝土压碎破坏;粘贴CFRP布加固试件的主要破坏模式为受拉区钢筋屈服和CFRP布拉断;粘贴钢板加固试件的主要破坏模式为受拉区钢筋和加固钢板受拉屈服以及受压区混凝土压碎。对于ISO 834等效受火60min后钢筋混凝土吊车梁,粘贴钢板加固效果优于粘贴CFRP布;ISO 834等效受火60min和90min后的钢筋混凝土吊车梁采用CFRP布加固后,极限荷载接近。加固后钢筋混凝土吊车梁试件跨中截面混凝土应变发展规律在混凝土腹板垂直裂缝完全发展前基本符合平截面假定。受火后加固试件的位移延性系数较未加固对比试件有所降低,粘贴钢板加固试件降低稍大。加固的受火后钢筋混凝土吊车梁极限荷载计算结果和有限元结果与试验结果误差绝对值为0.4%~7.8%,满足工程精度要求。
  • 徐玉野, 郭璐豪, 倪艳萍, 罗漪
    建筑结构学报. 2020, 41(08): 143-153. https://doi.org/10.14006/j.jzjgxb.2019.0161
    摘要 ( ) PDF全文 ( )   可视化   收藏
    为研究采用外包薄壁钢管、内灌自流平微膨胀灌浆料约束加固受火后钢筋混凝土柱的偏压性能,进行了2根未受火混凝土柱、2根受火后混凝土柱和6根受火后再加固的混凝土柱的受压试验研究,分析了不同荷载偏心率对外包薄壁钢管加固受火后钢筋混凝土柱偏压承载性能的影响规律。考虑外包薄壁钢管的约束效应和高温对混凝土损伤影响,给出了外包薄壁钢管加固受火后混凝土柱偏压承载力的简化计算方法。结果表明:荷载偏心率为0、0.87的混凝土柱受火90min后,其极限荷载分别降低了30.3%、47.4%;外包薄壁钢管对受火后混凝土轴压柱的加固效果较好,对偏压柱的加固效果略有降低,受火后荷载偏心率为0、0.87混凝土柱经加固后极限荷载分别比对应的未受火混凝土柱提高2%、降低4.7%;外包薄壁钢管加固可显著提高混凝土柱的延性;当荷载偏心率不超过1.07时,加固后试件的极限荷载随荷载偏心率的增加近似呈线性降低;提出的外包薄壁钢管加固受火后混凝土柱偏压承载力的简化计算方法,其计算结果与试验结果吻合良好。
  • 基础理论与共性技术
  • 刘占科, 支圆圆, 文天星, 曹舒
    建筑结构学报. 2020, 41(08): 154-164. https://doi.org/10.14006/j.jzjgxb.2018.0594
    摘要 ( ) PDF全文 ( )   可视化   收藏
    边界约束条件是影响钢梁弯扭屈曲临界弯矩的重要因素之一,但当前复合荷载作用下钢梁临界弯矩的研究仅为平面内、外均简支的情况。本文基于完备的总势能方程,采用Euler微分方程推导了完备的钢构件弯扭屈曲平衡微分方程组,进而简化得到钢梁弯扭屈曲侧移与扭转角独立及耦合时的平衡微分方程。分别采用Galerkin法、Rayleigh-Ritz法求解平衡微分方程(组)、总势能方程,得到了复合荷载作用下钢梁临界弯矩Mcr的计算式、双重求和形式的复合弯矩系数计算式以及单一荷载作用下的Mcr三系数(C1,i、C2,i、C3,i)通式,揭示了单一荷载两两共同作用时相关系数C1,ij的互等性和统一性特征,得到了平面外不同边界约束条件下比值C2,i/C1,i和C3,i/C1,i的关系,对影响Mcr三系数数值的因素进行了分析。研究表明:钢梁临界弯矩Mcr的计算式、复合弯矩系数Cb计算式以及Mcr的三系数通式适用于平面外4种不同边界约束条件的简支钢梁和固支钢梁;三系数形式的临界弯矩Mcr的计算式是基于扭转角试函数的基函数取1项得到的,系数C1,i的精度仅受侧移与扭转角是否耦合的影响,比值C2,i/C1,i和C3,i/C1,i不受侧移与扭转角是否耦合的影响,与采用Galerkin法还是Rayleigh-Ritz法无关。
  • 文天星, 刘占科, 曹舒, 支圆圆
    建筑结构学报. 2020, 41(08): 165-175. https://doi.org/10.14006/j.jzjgxb.2018.0600
    摘要 ( ) PDF全文 ( )   可视化   收藏
    基于平面外4种边界约束条件简支钢梁在满跨均布荷载、跨中对称集中荷载和端弯矩作用下,以及平面外4种边界约束条件固支钢梁在满跨均布荷载、跨中对称集中荷载作用下的Mcr三系数(C1,i、C2,i、C3,i)计算式,计算了典型单一荷载工况的Mcr三系数数值,给出了横向荷载与端弯矩共同作用简支钢梁以及横向荷载两两共同作用固支钢梁的复合弯矩系数Cb计算式,通过数值算例验证了本文Mcr三系数和复合弯矩系数计算式的精度。最后对比了本文的Mcr三系数数值与EN 199911: 2007和ENV 199311: 1992中单一荷载的Mcr三系数数值,校验了“4M”等效弯矩系数计算式对简支钢梁、固支钢梁的适用性。结果表明:对于除平面外边界约束条件为RR(平面外两端简支且约束转动)外的单轴或双轴对称截面简支钢梁以及双轴对称截面固支钢梁,单一荷载的Mcr三系数的数值或计算式以及复合弯矩系数计算式均具有较高精度;EN 199911: 2007和ENV 199311: 1992中部分工况的C2,i和C3,i不精确;现有“4M”等效弯矩系数计算式仅能用于计算平面内外简支钢梁的Cb或C1,i。
  • 戎芹, 王旭, 侯晓萌, 郑文忠
    建筑结构学报. 2020, 41(08): 176-182. https://doi.org/10.14006/j.jzjgxb.2017.0715
    摘要 ( ) PDF全文 ( )   可视化   收藏
    预应力混凝土结构中钢绞线的有效应力是确定其承载能力、进行预应力结构安全评估的关键参数。为测量预应力混凝土结构中钢绞线有效应力,提出了测量卸载偏轴应变并乘以修正系数K来确定钢绞线有效应力的方法,进行了应力水平为0.32~0.74时钢绞线加、卸载拉伸试验,基于试验数据,提出了轴向应变、偏轴应变和钢绞线应力的计算关系。结果表明,按轴向应变计算钢绞线的应力误差较大,而按修正后的偏轴应变计算,钢绞线应力计算值与实测值吻合较好。基于试验结果,确定了偏轴应变修正系数K的取值为1.1。
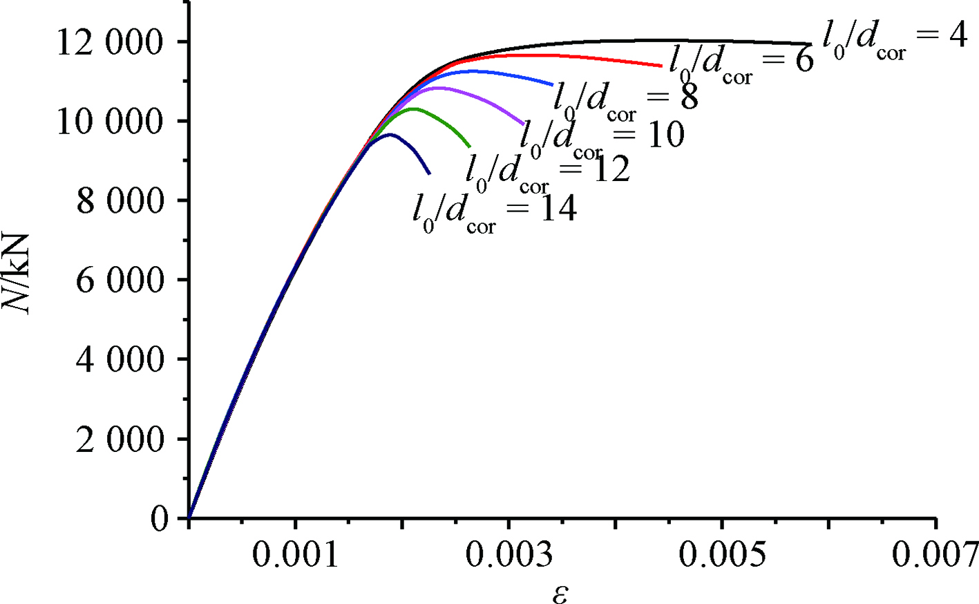
  • 刘晓春, 谢绍辉, 余志武, 杨义益, 祁敏
    建筑结构学报. 2020, 41(08): 183-190. https://doi.org/10.14006/j.jzjgxb.2017.0765
    摘要 ( ) PDF全文 ( )   可视化   收藏
    在GB 50010—2010《混凝土结构设计规范》中,螺旋箍筋柱轴心受压承载力计算公式未能定量反映长细比的影响,与普通箍筋柱计算公式及国内外其他有关规范公式的差异较大。为了定量分析长细比对螺旋箍筋柱轴心受压性能的影响,基于ANSYS软件建立了钢筋混凝土螺旋箍筋柱的精细化弹塑性有限元模型,采用经过验证的有限元模型开展了不同直径和长径比的螺旋箍筋柱轴心受压加载破坏过程的有限元分析。结果表明:螺旋箍筋柱的承载力随着核心区长径比的增大而逐渐降低,当长径比由2增大至5时,其承载力降低幅度在3.7%以内;当长径比达到15时,其承载力较长径比为2时相应值降低了25%。在计算分析的基础上,提出了螺旋箍筋柱轴心受压承载力计算公式中稳定系数的取值建议。