2020年, 第41卷, 第03期 刊出日期:2020-03-05
  

  • 全选
    |
    结构减震与抗震专题
  • 贺修樟, 陈以一
    建筑结构学报. 2020, 41(03): 1-13. https://doi.org/10.14006/j.jzjgxb.2019.0182
    摘要 ( ) PDF全文 ( )   可视化   收藏
    梁端塑性铰机制是普通框架结构在地震作用下的一种常设耗能模式,但其震后修复困难,为此提出了一种可更换耗能组合梁,由上翼缘连接板件和下翼缘角钢连接相邻梁段。连接处截面中性轴位于上翼缘处,从而将损伤集中于梁下翼缘的连接角钢上,震后仅需更换角钢,以期快速恢复结构功能。详细分析了该组合梁的传力机制,建立了设计方法,并通过试验予以检验。试验结果表明,组合梁的弹性刚度、变形分布、连接处中性轴的位置以及屈服承载力和塑性转动能力均能达到设计预期,在设定的损伤变形范围内更换角钢可以基本恢复结构性能。
  • 吴宏磊, 丁洁民, 刘博
    建筑结构学报. 2020, 41(03): 14-24. https://doi.org/10.14006/j.jzjgxb.2019.0056
    摘要 ( ) PDF全文 ( )   可视化   收藏
    组合消能减震是在结构中组合应用速度型阻尼器和位移型阻尼器,地震作用下参与结构耗能,降低结构地震响应。基于性能的组合消能减震设计是从性能化设计理念出发,通过调整消能减震装置在结构中的布置位置和力学特性参数,在不同水准地震作用下分阶段发挥各阻尼器的作用,满足结构受力变形要求,提高结构抗震性能。以云南省昆明市一超高层建筑为工程背景,在结构中同时布置了速度型阻尼器和位移型阻尼器,研究了不同类型减震装置在结构中的较优布置位置,结果表明:本工程采用组合消能减震技术后,在多遇地震、设防地震和罕遇地震作用下,各类减震装置均能充分参与结构耗能,相比传统抗震结构,其地震响应和构件损伤可得到更好的控制,整体结构能够满足预期抗震性能目标要求。
  • 赵昕, 杜冰洁, 李浩
    建筑结构学报. 2020, 41(03): 25-35. https://doi.org/10.14006/j.jzjgxb.2019.0136
    摘要 ( ) PDF全文 ( )   可视化   收藏
    总结分析了黏滞阻尼器(VD)与屈曲约束支撑(BRB)的基本性能,提出了附加阻尼虚拟VD模型,基于该模型发展了一种VD优先布置顺序分析方法,进而提出了基于附加阻尼虚拟VD模型的黏滞阻尼系统优化设计方法。对BRB各种应力状态进行了详细分析,提出了基于支撑应力水平分析的BRB布置方法;将两种减振装备混合布置在结构中,提出了一种实用的混合减振系统设计方法。结合一10层平面框架算例,对所提方法的准确性进行验证。最后以某超高层结构工程为例,针对不同期望阻尼比对结构进行混合减振集成优化设计,并对设计结果进行对比分析。研究结果表明, VD可以有效增大结构阻尼,降低结构地震响应,BRB用于替换应力较大支撑,可缩小支撑截面尺寸,降低结构成本。因此,混合减振结构具有高效的减振性能和良好的经济性,有较大的工程应用价值。
  • 周林丽, 谭平, 滕晓飞
    建筑结构学报. 2020, 41(03): 36-43. https://doi.org/10.14006/j.jzjgxb.2018.0619
    摘要 ( ) PDF全文 ( )   可视化   收藏
    基于“自复位”理念,提出了一种采用钢板剪力墙耗能的自复位钢框架钢板剪力墙结构,对其进行了受力机理分析,并给出了自复位钢框架钢板剪力墙的复位条件。依据GB 50011—2010《建筑抗震设计规范》设定了自复位钢框架钢板剪力墙基于性能的设计目标,基于性能目标提出了自复位钢框架钢板剪力墙的设计流程,从构件的实际受力状态出发对该设计方法进行了研究,并推导出构件的设计公式。以某传统钢框架为例,对其进行了由钢板剪力墙耗能的自复位结构边缘构件设计,并采用有限元软件ABAQUS对其中单榀单跨进行了Pushover分析。结果表明:当层间位移角达到2%时,结构的残余变形量控制在0.2%以内,主体结构边缘构件仍处于弹性工作状态,推覆过程中钢板墙耗散了大量能量;推覆结束后,结构余留少量残余变形,这主要是由于梁柱节点绕梁上下翼缘转动时梁上下翼缘角部受到挤压引起,可通过适当设置翼缘加强板减少甚至消除残余变形。
  • 杜一鹏, 郝际平, 于金光, 房晨, 葛明兰
    建筑结构学报. 2020, 41(03): 44-52. https://doi.org/10.14006/j.jzjgxb.2018.0121
    摘要 ( ) PDF全文 ( )   可视化   收藏
    薄钢板剪力墙的屈曲荷载低,在地震作用下会产生较大残余变形,影响二次抗震性能。为此提出锚固密肋槽钢的方法修复震后损伤钢板剪力墙,根据附加肋板的受力模型,推导了修复内嵌钢板所需肋条间距限值公式。为研究该公式的合理性及修复后结构的抗震性能,对一榀单跨双层薄钢板剪力墙施加了两阶段低周往复荷载,即第Ⅰ阶段加载至1/130位移角,以达到在该加载步模拟地震损伤的目的,之后安装密肋槽钢修复内嵌钢板;第Ⅱ阶段将修复加固后结构加载至破坏,研究其抗震性能变化。结果表明:加劲肋具有足够刚度,可以有效抑制内嵌钢板残余变形;修复后结构破坏模式合理,滞回曲线饱满,附加肋板可以有效提高其耗能能力;结构刚度及延性较高,刚度相较原结构提升14%,位移延性系数达到3.12,具有良好的变形能力。
  • 汪裕洲, 赵羽习, 赵云, 袁静, 沈海强
    建筑结构学报. 2020, 41(03): 53-62. https://doi.org/10.14006/j.jzjgxb.2018.0073
    摘要 ( ) PDF全文 ( )   可视化   收藏
    进行5榀框架-再生填充墙试件(包括1榀纯框架及1榀墙体试件)的低周反复加载试验,得到不同框架-再生填充墙试件的滞回曲线与骨架曲线,研究了不同再生填充墙对试件承载力、变形能力、延性与耗能能力的影响。收集已有文献中框架-填充墙试件的抗震性能试验数据,采用归一化分析,对比研究了再生与普通填充墙对框架-填充墙试件抗震性能的影响。结果表明:再生填充墙的墙体材料组成对框架结构的抗震性能影响较大,再生多孔砖填充墙使框架结构变形能力和延性略有减小,结构在屈服荷载时耗能能力较好,但在极限荷载时耗能能力较差;120型和90型再生隔墙板填充墙均使框架结构的变形能力和延性有所降低,但前者耗能能力远优于后者;相比于框架-普通填充墙结构,框架-再生填充墙结构在极限荷载后性能退化较快。
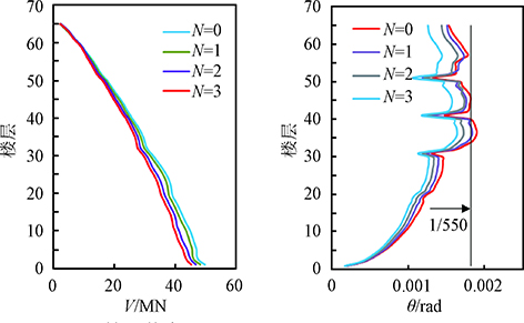
  • 薛彦涛, 王翠坤, 王璐, 牛向阳, 葛荣荣
    建筑结构学报. 2020, 41(03): 63-70. https://doi.org/10.14006/j.jzjgxb.2018.0259
    摘要 ( ) PDF全文 ( )   可视化   收藏
    板柱结构具有可利用空间大、布局灵活、显著降低层高等优势,但是存在结构水平刚度较弱、位移大、抗震承载力较差等问题。为解决上述问题,在板柱结构中设置屈曲约束支撑,以提高结构的抗侧刚度,增强其抗震承载力。通过对3个高度不同和2个大面积的板柱-支撑结构的计算表明,板柱结构抗侧刚度和承载力较弱的问题可通过设置适当数量的屈曲约束支撑解决。为研究板柱-支撑结构的变形、层间剪力、倾覆弯矩、支撑布置等问题,通过PKPM建模分析,结果表明:多遇地震作用下,板柱-支撑结构可采用框架结构的弹性层间位移角(1/550)来控制结构变形;板柱-支撑结构中支撑承担的楼层剪力建议不低于楼层剪力的40%;通过对比GB 50011—2010《建筑抗震设计规范》和力学概念计算得到楼层倾覆力矩的结果,认为采用规范建议的方法较为合理;支撑的竖向居中布置会减小支撑倾覆力矩占比,而对支撑剪力占比影响较小。
  • 混凝土及组合结构
  • 袁健, 易伟建
    建筑结构学报. 2020, 41(03): 71-80. https://doi.org/10.14006/j.jzjgxb.2018.0197
    摘要 ( ) PDF全文 ( )   可视化   收藏
    在更新钢筋混凝土矩形截面简支梁受剪试验数据的基础上,分析了GB 50010—2010《混凝土结构设计规范》中钢筋混凝土浅梁受剪承载力计算公式存在的问题。通过对集中荷载作用下987根无腹筋梁受剪试验数据进行非线性拟合得到混凝土项,并利用103组配对试件受剪试验结果验证了45°桁架模型的合理性,进而提出了修正计算式。结果表明GB 50010—2010《混凝土结构设计规范》中钢筋混凝土浅梁受剪承载力计算公式的安全度偏低,而对混凝土强度取值范围的限制偏于保守。修正计算式采用统一的表达式,且考虑了纵向受拉钢筋配筋率和尺寸效应的影响。集中荷载和均布荷载作用时,修正计算式的可靠指标较接近,且都能满足GB 50068—2001《建筑结构可靠度设计统一标准》的基本要求。
  • 汪梦甫, 罗丹, 胡张齐
    建筑结构学报. 2020, 41(03): 81-92. https://doi.org/10.14006/j.jzjgxb.2018.0478
    摘要 ( ) PDF全文 ( )   可视化   收藏
    以国内28个核心筒的拟静力试验数据为基础,按骨架曲线和破坏现象两种性能状态划分方法得到了核心筒的变形性能指标,并将两种方法所得到的结果进行对比,验证了基于骨架曲线划分性能状态方法的合理性。基于OpenSees软件平台并通过与试验结果对比验证,建立了核心筒的有限元模型并据此进行参数分析,得到了各性能状态的位移角限值,分析了轴压比、高宽比、连梁跨高比、钢板暗支撑含钢率、暗柱含钢率和角部含钢率对钢-混凝土组合核心筒在不同性能状态下位移角的影响。研究结果表明:轴压比与连梁跨高比对变形性能指标限值影响明显,增大钢板暗支撑含钢率能提高变形能力,高宽比和暗柱、角部含钢率对各性能等级的变形指标限值影响较小。对有限元分析结果进行统计分析,得到了钢混凝土组合核心筒在各性能等级的变形指标限值,可为抗震性能设计提供参考。
  • 李涛, 李冬晓, 徐超卓, 刘波
    建筑结构学报. 2020, 41(03): 93-104. https://doi.org/10.14006/j.jzjgxb.2018.0352
    摘要 ( ) PDF全文 ( )   可视化   收藏
    钢骨混凝土框架-核心筒超高层混合结构竖向变形对结构的长期安全稳定影响显著。基于混凝土弹性、徐变和收缩变形的理论分析,推导了超高层建筑考虑结构施工过程的徐变计算式,依此建立了考虑超高层混合结构体系分级循环施加变荷载的竖向变形计算方法,并分析了施工过程对内外结构竖向变形差异的影响,最后,以深圳平安金融中心为工程背景,研究了超高层混合结构竖向变形规律和内筒与外框架的变形差异。结果表明:所提方法对超高层混合结构竖向变形的预测结果与工程实际测量结果误差较小,可反映超高层建筑的长期竖向变形及变形差的发展规律;超高层建筑竖向变形呈中部大、两端小的鱼腹形,结构施工期间,竖向变形最大值发生在中部位置,并随着服役期的延长,竖向变形最大值所在楼层逐渐上移;在施工期间,弹性压缩变形最大,徐变次之,收缩最小,而竣工后,徐变和收缩占总变形的比例不断增加,深圳平安金融中心竣工50a后的徐变收缩变形将达到弹性压缩变形的2~3倍;内筒剪力墙竖向变形比外框架柱大,且单层结构施工周期越短,内外结构长期变形差越大,核心筒超前外框架施工层数越多,变形差越大。
  • 许国山, 徐小童, 王贞
    建筑结构学报. 2020, 41(03): 105-115. https://doi.org/10.14006/j.jzjgxb.2018.0017
    摘要 ( ) PDF全文 ( )   可视化   收藏
    针对防屈曲支撑混凝土框架(RC-BRBF)体系中防屈曲支撑(BRB)对相连柱产生附加变轴力影响,提出了RC框架柱设计方法。该方法首先通过等价轴压比指标获得RC柱设计轴压比限值,保证了一级、二级以及三、四级框架柱极限侧移水平分别达到2.7%、2.4%以及2.1%;然后通过体系延性水平获得柱位移延性指标,保证其延性性能。研究表明,RC柱设计轴压比限值与等价设计轴压比水平、构件受等效重力与地震作用的轴力标准值之比有关;改进后的设计方法能够有效考虑BRB对相连柱附加变轴力影响,并保证了变轴压比下柱的极限侧移水平。算例分析结果表明,该方法通过优化柱截面提高了体系经济性,同时保证体系满足“三水准”设防目标,RC柱设计轴压比限值的设定是合理的。
  • 李国强, 黄小坤, 田春雨, 李然, 刘璐, 远芳
    建筑结构学报. 2020, 41(03): 116-122. https://doi.org/10.14006/j.jzjgxb.2019.0005
    摘要 ( ) PDF全文 ( )   可视化   收藏
    进行了10个足尺钢筋混凝土叠合梁试件的单调扭转试验,研究了箍筋形式和配箍率对纯扭作用下叠合梁的变形特征、破坏模式、受扭承载力等的影响。研究结果表明:配置组合封闭箍筋叠合梁的受扭承载力与配置传统封闭箍筋叠合梁的基本相同;在达到峰值荷载之前,配置组合封闭箍筋叠合梁与配置传统封闭箍筋叠合梁的受扭性能基本相同;峰值荷载后,配置单钩组合封闭箍筋叠合梁的延性变差,配置双钩组合封闭箍筋叠合梁的延性与配置传统封闭箍筋叠合梁的基本相同。承受单向扭矩的叠合梁中可以配置双钩组合箍筋,并可以按照国家标准GB 50010—2010《混凝土结构设计规范》方法计算其受扭承载力;不建议采用配置单钩组合箍筋的受扭叠合梁。
  • 杨绿峰, 陈旺, 陈昌, 余波
    建筑结构学报. 2020, 41(03): 123-131. https://doi.org/10.14006/j.jzjgxb.2018.0174
    摘要 ( ) PDF全文 ( )   可视化   收藏
    由传统耐久性设计方法所确定的混凝土结构一维和二维扩散区的耐久性定量设计参数取值往往互不相同,导致混凝土的制备和施工浇筑存在困难。鉴于此,提出了考虑施工需求的混凝土结构耐久性定量设计参数的协调取值方法。首先考虑氯离子扩散系数的时变特性,推导了混凝土结构中一维和二维扩散区氯离子浓度分布的时变解析模型;然后分析了混凝土结构角部箍筋弯折对混凝土附加保护层厚度的影响,并依据不同扩散区耐久性定量设计参数的协调一致性要求,建立了箍筋协调弯弧内半径的计算表达式,进而提出了混凝土结构耐久性定量设计参数的协调取值方法,从而满足对于同一截面上具有不同扩散区的构件能够一次性完成混凝土浇筑的施工需求。分析表明,该方法基于箍筋协调弯弧内半径和耐久性定量设计确定混凝土结构的耐久性设计参数取值,使混凝土结构能够在规定的腐蚀环境作用下满足预定的设计使用年限要求,从而克服传统耐久性设计方法所存在的缺陷。
  • 空间结构
  • 蒋淑慧, 袁行飞, 马烁
    建筑结构学报. 2020, 41(03): 132-139. https://doi.org/10.14006/j.jzjgxb.2018.0520
    摘要 ( ) PDF全文 ( )   可视化   收藏
    基于节点位移形式的势能方程,推导了节点可动性矩阵和节点刚化冗余矩阵。通过节点可动性矩阵分析索杆体系的可动性,通过节点刚化冗余矩阵分析索杆体系的可刚化性和节点自由度层面的刚化冗余性。对比静不定冗余度和动不定刚化冗余之间的异同,形成了一套综合考虑静不定和动不定冗余理论的索杆体系冗余评价指标,并通过一组索穹顶算例验证了该评价指标的有效性。结果表明,所提出的刚化冗余指数可反映预应力刚化对节点约束能力的冗余,刚化冗余分布指数可反映节点约束能力的均衡性,总冗余分布指数可综合反映单元和节点层面的冗余分布均衡性。对于形式相同的结构,总冗余分布指数越小,结构冗余分布越均衡。
  • 夏永强, 肖南, 钱晓倩
    建筑结构学报. 2020, 41(03): 140-149. https://doi.org/10.14006/j.jzjgxb.2018.0169
    摘要 ( ) PDF全文 ( )   可视化   收藏
    互承构型的节点位于一杆端点与相邻杆边搭接的接触点,传统以节点位移为基本未知量的协调矩阵静动定特性判定准则仅适用于杆件间在端点交汇于一点的铰接杆件体系,并不适用于互承构型。为判定互承构型能否成为互承结构,以杆件位移为基本未知量,基于搭接点处位错协调,建立位错协调方程,得到协调矩阵;以节点处连接力为基本未知量,基于杆件关于基准点静力平衡,建立平衡方程,得到平衡矩阵。对比发现,对同一互承构型,位错协调矩阵和力平衡矩阵互为转置,与以节点位移为研究对象的分析方法具有相同的规律。通过奇异值分解,可获得构型的静动定特性。进一步,对常见互承构型进行静动定特性分析,结果显示,由11种阿基米德铺砌变换得到的平面互承构型为几何瞬变体系,而曲面互承构型为几何不变无多余约束的静定结构。最后,借助ANSYS软件进行有限元分析,有限元分析结果与所提方法所得结果一致,证明所提方法合理正确。
  • 薛素铎, 王成林, 孙国军, 武加泳
    建筑结构学报. 2020, 41(03): 150-155. https://doi.org/10.14006/j.jzjgxb.2018.0038
    摘要 ( ) PDF全文 ( )   可视化   收藏
    为研究Levy型劲性支撑穹顶结构的静力性能,以跨度6m的Levy型劲性支撑穹顶结构实际模型为研究对象,通过试验研究了其在初始预应力、满跨荷载和半跨荷载作用下的静力性能,获得了Levy型劲性支撑穹顶结构模型中各杆件内力和节点位移随外荷载增加变化规律。研究结果表明:在满跨荷载作用下,随着荷载的增大,环杆、撑杆和斜杆轴力都逐渐增大,脊索索力逐渐减小;在半跨荷载作用下,随着荷载的增大,结构内部杆件内力变化平稳,结构受荷一侧各杆件内力变化规律与全跨荷载作用下变化规律基本相同,但各杆件内力的变化值较全跨荷载作用大,结构对非对称荷载比较敏感,结构非受荷一侧内力变化比较复杂,脊索索力减小,撑杆和环索内力减小,内、中斜杆内力减小,外斜杆内力基本不变,半跨荷载引起的节点竖向位移比满跨荷载引起的竖向位移大,但整体结构位移均较小,竖向刚度较大,表明用劲性钢拉杆代替索穹顶下层拉索构件是可行的。研究结果验证了劲性支撑穹顶结构合理性与可行性,可为工程应用提供参考。
  • 张爵扬, 张相勇, 陈华周, 李静姝
    建筑结构学报. 2020, 41(03): 156-162. https://doi.org/10.14006/j.jzjgxb.2018.0701
    摘要 ( ) PDF全文 ( )   可视化   收藏
    石家庄国际会展中心项目建筑造型新颖别致,富有艺术表现力,结构体系复杂,采用了双向悬索结构体系,其中纵向主承重采用自锚式悬索结构,横向次承重采用双层索桁架结构,传力方式特殊,为增大屋盖平面内刚度,还设有水平交叉支撑。以石家庄国际会展中心C厅结构为研究对象,进行了线性屈曲和非线性屈曲分析。研究了初始缺陷分布模式、荷载分布形式以及初始缺陷值的大小对结构整体稳定的影响。研究表明:初始缺陷的分布模式对石家庄国际会展中心结构的整体承载力影响不大;荷载分布形式对结构的整体承载力有较大的影响;初始缺陷值在结构跨度的1/300以内时,结构整体承载力损失不大,但当其增大至1/100结构跨度时,结构的整体承载力显著下降;该结构具有良好的整体稳定性,线性屈曲及双重非线性荷载因子均满足规范要求。
  • 基础理论与共性技术
  • 吴志平, 胡大柱, 陈欣宇, 聂传荣
    建筑结构学报. 2020, 41(03): 163-171. https://doi.org/10.14006/j.jzjgxb.2018.0085
    摘要 ( ) PDF全文 ( )   可视化   收藏
    研发了一种钢棒防屈曲支撑(简称SBBRB),使得钢棒不仅能承受拉力,也可承受压力,从而提高钢棒的受力性能。通过对SBBRB足尺试件进行低周往复加载试验,研究其受力性能、破坏形态和耗能能力,并对支撑的应变和位移历程进行了全过程监测;采用ABAQUS分析软件建立了钢棒防屈曲支撑的有限元模型,并对试验工况进行模拟。研究结果表明:通过将钢棒内置于钢管套筒内,可使钢棒能够承受压力,试验得到的SBBRB受压极限承载力是钢棒受压临界荷载计算值的10倍左右;合理设计的SBBRB的钢棒屈服段在受拉和受压状态下均能充分屈服而不会发生支撑构件的屈曲破坏,具有较好的延性以及稳定的累积滞回耗能特性,在破坏之前滞回曲线始终饱满和稳定;可以通过监测钢棒受力,预先采取措施,从而保证结构安全;ABAQUS有限元分析结果与SBBRB试件按照预定加载制度进行加载的试验滞回曲线吻合较好,可为后续相关研究提供参考。
  • 郑华冬, 樊剑, 张耀庭
    建筑结构学报. 2020, 41(03): 172-181. https://doi.org/10.14006/j.jzjgxb.2018.0237
    摘要 ( ) PDF全文 ( )   可视化   收藏
    通过ABAQUS分析软件对一系列不同长细比、径厚比圆管截面钢支撑的压屈承载力、非线性屈曲平衡路径、卸载再加载路径及损伤进行计算和统计,并选取典型构件计算结果与现有试验结果进行了对比,证明了有限元模型的准确性。通过统计的数值数据及现有的试验数据,拟合了简单、有效的圆管截面钢支撑现象滞回模型。该模型采用Coffin-Manson公式和Miner线性累积法则进行支撑低周疲劳损伤预测,建立了材料强度折减与疲劳损伤的相关公式,可以考虑支撑在滞回过程中的一些复杂非线性行为,如受拉屈服、受压非线性屈曲、包辛格效应及低周疲劳效应引起的材料强度折减和断裂等。该模型预测的支撑滞回曲线和累积能量耗散曲线与现有试验和校正的有限元模型的计算结果吻合较好,且计算耗时大幅缩减,适用于圆管截面钢支撑结构的非线性分析。
  • 杨雨青, 牟在根
    建筑结构学报. 2020, 41(03): 182-190. https://doi.org/10.14006/j.jzjgxb.2018.0064
    摘要 ( ) PDF全文 ( )   可视化   收藏
    通过对剪切作用下的闭口斜加劲钢板剪力墙进行有限元弹性屈曲分析,研究了肋板刚度比和抗扭抗弯刚度比对斜向槽钢加劲钢板剪力墙剪切屈曲性能及其加劲门槛刚度的影响。通过有限元分析,得到了斜向加劲钢板剪力墙临界剪切屈曲应力随内填板跨高比和加劲肋抗扭抗弯刚度比变化的关系曲线。考虑加劲肋对内填板加劲边转动约束,提出了第二门槛刚度,并给出了具有良好精度的斜向槽钢加劲钢板剪力墙的门槛刚度及第二门槛刚度计算公式。研究结果表明,受压型加劲肋对加劲板的临界剪切屈曲应力提高明显,随肋板刚度比的增大,加劲板的剪切屈曲应力增大,而受拉型加劲肋对板的屈曲荷载提高有限;当肋板刚度比达到第二门槛刚度时,加劲肋可以完全约束加劲边的面外位移和转动。当提高加劲肋的抗扭抗弯刚度比时,能够有效降低加劲肋的门槛刚度,因此,建议加劲肋的抗扭抗弯刚度比不低于0.307。