2020年, 第41卷, 第02期 刊出日期:2020-02-05
  

  • 全选
    |
    结构抗震专题
  • 王亚勇
    建筑结构学报. 2020, 41(02): 1-6. https://doi.org/10.14006/j.jzjgxb.2019.0102
    摘要 ( ) PDF全文 ( )   可视化   收藏
    分别介绍GB 50011—2010《建筑抗震设计规范》和GB 18306—2015《中国地震动参数区划图》反应谱的异同,包括加速度记录数据样本及分组、数据处理、反应谱的构建和应用,进而讨论了地面峰值加速度(GPA)和有效峰值加速度(EPA)的定义。分析了8组地震动加速度记录的反应谱,结果表明,采用GB 50011—2010《建筑抗震设计规范》进行结构时程分析时,输入地震动加速度值应按EPA调整,计算结果与振型分解反应谱法对比才有意义。
  • 李爽, 周洪圆, 刘向阳, 贾俊峰
    建筑结构学报. 2020, 41(02): 7-12. https://doi.org/10.14006/j.jzjgxb.2018.0664
    摘要 ( ) PDF全文 ( )   可视化   收藏
    采用211条脉冲型地震动计算得到了保证率分别为50%(平均谱)和84%(平均谱+1倍标准差谱)的近断层地震动反应谱,将得到的反应谱与GB 50011—2010《建筑抗震设计规范》中推荐的近断层区设计谱进行了比较。结果表明,我国抗震规范中针对近断层区给出的设计谱幅值调整方法不能保证近断层区的结构具有足够的安全性,表现为调整后的设计谱值在某些周期段上仍小于实际的近断层地震动反应谱值。根据比较结果,提出了基于我国抗震规范设计谱形式的近断层区抗震设计谱修正方法,通过提高设计谱幅值和限制特征周期最小值来实现修正,将我国抗震规范中的设计谱幅值增大1.5倍、特征周期下限取0.75s(多遇地震)和0.80s(罕遇地震),所提的近断层区抗震设计谱,保证率可达到84%。所提出的抗震设计谱及变形验算的设计建议简单且易于在工程中使用,研究结果可为近断层区的结构抗震设计提供参考。
  • 吴宏磊, 丁洁民, 陈长嘉
    建筑结构学报. 2020, 41(02): 13-21. https://doi.org/10.14006/j.jzjgxb.2018.0715
    摘要 ( ) PDF全文 ( )   可视化   收藏
    随着建筑复杂程度的不断增大及隔震技术应用的推广,有必要对大跨复杂结构隔震设计过程中的关键问题进行研究。以西安丝路国际会议中心为工程背景,介绍了隔震设计在大跨复杂结构中的应用。该建筑结构地上部分采用巨型钢框架结构,地下部分采用混凝土框架-剪力墙结构,在地下室顶板以下柱顶布置隔震支座形成隔震层,隔震层混合使用“橡胶隔震支座+弹性滑板支座+黏滞阻尼器”。通过隔震层的选型与布置及计算分析,认为采用地下室顶板以下柱顶布置隔震层的方式具有适用性,隔震设计满足规范各项要求。结合结构特点,对隔震结构扭转控制、超长钢结构采用隔震设计时温度效应的影响、隔震层在地震作用下的自复位能力、双支座布置误差控制及弹性滑板支座水平度控制要求等问题进行了分析,并针对各专项问题提出了相应的解决方法和控制措施,为类似工程设计提供参考。
  • 黄青隆, 罗永峰, 朱钊辰, 相阳
    建筑结构学报. 2020, 41(02): 22-31. https://doi.org/10.14006/j.jzjgxb.2018.0185
    摘要 ( ) PDF全文 ( )   可视化   收藏
    为减小增量动力分析中结构地震反应的离散程度,提出了改进的地震动强度参数。首先,基于等效模态荷载和模态组合系数,提出并定义模态强度参数。然后,采用推广的模态推覆方法,构造1阶振型的等效单自由度体系,采用非线性时程分析计算该体系的弹塑性位移谱谱值,用于修正1阶模态强度参数。最后,组合各阶模态强度参数,得到改进的地震动强度参数。对不同矢跨比的两个格构钢拱模型进行36条地震波的增量动力分析结果表明,改进参数可有效减小结构反应离散性。相比于其他常用地震动强度参数,该参数对各项需求指标拟合结果的判定系数均处于0.9678~0.9786范围内,拟合标准差均处于0.195~0.239范围内,具有更好的相关性、有效性。同时,该参数拟合斜率较高,具有较好实用性;其拟合残差通过了显著性检验,满足充分性的要求。
  • 韩文龙, 钱稼茹, 张微敬, 赵作周, 张英保, 马涛, 张裕照
    建筑结构学报. 2020, 41(02): 32-41. https://doi.org/10.14006/j.jzjgxb.2017.0735
    摘要 ( ) PDF全文 ( )   可视化   收藏
    装配整体式空心板剪力墙结构(EVE)采用钢筋间接搭接实现上下层预制墙、同层相邻预制墙的连接。通过3个空心板剪力墙的拟静力试验,研究钢筋间接搭接、接缝构造、灌孔构造边缘构件的可行性。结果表明:竖向孔、水平孔内连接钢筋与对应的空心板内竖向、水平钢筋同一位置应变随水平力的变化规律相同,空心板剪力墙边缘构件竖向钢筋、竖向接缝水平钢筋间接搭接可依靠桁架机制有效传递钢筋拉压力;试件均实现了预期的破坏模式,竖向孔、水平孔内后浇混凝土可与空心板共同工作;压剪破坏的空心板剪力墙受剪承载力试验值为JGJ 3—2010《高层建筑混凝土结构技术规程》(简称《高规》)现浇剪力墙公式计算值的1.77倍,压弯破坏的空心板剪力墙受弯承载力试验值为《高规》现浇剪力墙公式计算值的1.15~1.23倍,可按《高规》现浇剪力墙斜截面受剪承载力、正截面受压承载力计算方法计算EVE空心板剪力墙的承载力;空心板剪力墙极限位移角为1/66~1/54,满足罕遇地震作用下剪力墙结构弹塑性变形能力的要求;灌孔边缘构件可采用全预制构造(竖向钢筋间接搭接,箍筋布置于空心板内)代替半预制构造(竖向孔内竖向钢筋贯通,箍筋布置于竖向孔内);空心板剪力墙水平接缝具有良好的抗滑移能力。
  • 杨文伟, 高栋, 索雅琪
    建筑结构学报. 2020, 41(02): 42-54. https://doi.org/10.14006/j.jzjgxb.2017.0698
    摘要 ( ) PDF全文 ( )   可视化   收藏
    主管为中空夹层钢管混凝土,支管为空钢管的K形搭接节点,按主圆支圆和主方支圆两种形式加工制作了4个节点,对节点两个支管通过同步往复加载,研究主管通过夹层混凝土加强的K形节点破坏模式、承载力、耗能性能等。分析了试件的滞回曲线、骨架曲线、承载力、延性系数、能量耗散系数等抗震性能指标。结果表明:未加强节点的破坏模式为主管表面塑性破坏,主管夹层灌混凝土的加强节点为支管拉裂破坏;主管夹层灌混凝土提高了节点的刚度和承载力,对于方管尤为显著,但对节点的延性影响不大;相比主圆支圆的未加强试件,夹层灌普通混凝土和粉煤灰混凝土的试件承载力分别提高了43.7%和52.1%,节点累积耗能分别提高了57.6%和64.0%;相比主方支圆未加强试件,夹层灌普通混凝土和粉煤灰混凝土的试件承载力分别提高了66.7%和64.7%,节点累积耗能分别提高了39.8%和21.7%,但主管夹层灌普通混凝土和灌粉煤灰混凝土对节点的加强效果区别不大。利用ANSYS软件对试验试件进行有限元分析,分析结果与试验结果吻合良好,并选用主管空心率、支主管直径比及支管径厚比进行参数分析。分析表明:随主管空心率的增大,节点耗能能力和承载力有所减小;随支主管直径比的增大,节点滞回曲线趋于饱满,耗能能力和承载力提高;随支管径厚比的增加,节点的滞回曲线的饱满度降低,节点承载力和耗能能力均呈下降趋势。
  • 潘旦光, 李雪菊, 谭晋鹏, 陈清军, 鲁文艳
    建筑结构学报. 2020, 41(02): 55-62. https://doi.org/10.14006/j.jzjgxb.2018.0569
    摘要 ( ) PDF全文 ( )   可视化   收藏
    为估计模态叠加法中模态截断对结构地震作用下位移、速度、加速度反应的影响,对比分析了累积振型参与质量误差、静荷载参与比误差、质量相关荷载作用下的位移误差、累积振型贡献系数误差、累积振型加速度贡献系数误差和单位阵误差等模态截断指标随模态数目增加的变化规律。以一个5层剪切框架、一个单向不对称的4层框架和一个框架支撑结构的地震反应为例,讨论了结构位移、速度和加速度反应的模态截断误差与模态截断指标的关系。算例分析结果表明,静荷载参与比误差高估了低阶模态的影响而使模态截断数目偏少;质量相关荷载作用下的位移误差所得模态数目不稳定,这两个指标不适合作为模态截断的依据。对于悬臂类结构,模态截断所产生的累积误差以加速度的最大,速度的次之,位移的最小;对于位移反应,首层平动位移的累积振型贡献系数误差和累积振型参与质量误差可作为位移反应模态截断的依据;高阶模态对结构加速度反应的贡献大于对位移反应的贡献,应采用累积振型加速度贡献系数误差作为加速度反应模态截断的依据。
  • 结构抗风专题
  • 黄铭枫, 孙建平, 王义凡, 楼文娟
    建筑结构学报. 2020, 41(02): 63-70. https://doi.org/10.14006/j.jzjgxb.2018.0735
    摘要 ( ) PDF全文 ( )   可视化   收藏
    结合2015年第1509号超强台风“灿鸿”期间在杭州九堡大桥的现场实测数据,基于WRF(weather research and forecasting)和LES(大涡模拟)的台风多尺度耦合数值模拟方法,重现了台风“灿鸿”的中小尺度发展演化过程,并对九堡大桥周边台风风场进行多尺度精细化模拟;以多项式插值的方式解决疏网格向密网格的背景风场要素降尺度耦合问题;最后通过大涡模拟获得了九堡大桥周边地区30min瞬态台风风场数据。模拟得到的瞬态风速结果与实测数据在统计意义上较为吻合,表明WRF-LES耦合系统能实现从气象中尺度到建筑小尺度的多尺度数值模拟,有效地获取一次台风过程中目标区域的瞬态台风风场。NSRFG(narrowband synthesis random flow generator)方法生成的入口脉动风速适用于局部台风风场的LES计算,模拟所得风速功率谱与实测结果在低频段基本一致。
  • 胡佳星, 李正农, 王澈泉, 段晓农, 沈义俊
    建筑结构学报. 2020, 41(02): 71-82. https://doi.org/10.14006/j.jzjgxb.2018.0582
    摘要 ( ) PDF全文 ( )   可视化   收藏
    对2014—2017年期间一栋由4根巨柱支撑、高108m的32层塔楼在台风影响下的楼顶风场和动力响应进行同步监测,获得台风“威马逊”、“海鸥”、“彩虹”、“莎莉嘉”和“卡努”影响下该楼顶部的风速、风向和不同楼层沿长、短轴向的加速度响应时程,分析了加速度响应的时域和频域特性,采用ERA-NExT、RDT、有限元法识别了实测高层建筑的模态参数,研究了与加速度幅值相关的模态频率和阻尼比。统计结果表明:强风作用下高层建筑模态频率低于静风状态下的模态频率,当加速度均方根小于10mm/s2时,顺、横风向前三阶模态频率随加速度幅值增大而减小,顺风向前三阶模态阻尼比随加速度幅值增大而增大;当加速度均方根大于10mm/s2时,顺、横风向前三阶模态频率减小速率逐步减小,顺风向前三阶模态阻尼比未出现明显增大。当峰值加速度达到最大时,沿长、短轴向一阶模态阻尼比约为2.0%、1.9%,相比静风状态下前三阶模态频率下降了约11%、12%、10%,并提出了考虑相对加速度幅值(加速度均方根与测点离地高度比值)参数影响的高层建筑基频预测公式,为台风多发区域高层建筑基频的估算提供参考。
  • 潘小旺, 邹良浩, 梁枢果, 汤怀强, 邹垚
    建筑结构学报. 2020, 41(02): 83-91. https://doi.org/10.14006/j.jzjgxb.2018.0697
    摘要 ( ) PDF全文 ( )   可视化   收藏
    为研究不同长宽比超高层建筑三维风荷载组合,通过高频测力天平风洞试验得到了5种长宽比的矩形超高层建筑基底剪力、弯矩和扭矩时程。基于试验数据和计算结果,分析了三维风荷载效应的分布及其极值相关性。在此基础上,对比分析了不同长宽比的超高层建筑顺风向与横风向、顺风向与扭转向以及横风向与扭转向之间的风荷载效应极值分布规律和统计参数。最后,采用概率统计方法评估了不同长宽比对结构三维风荷载组合系数的影响,并给出了一组基于极值相关性分析的结构三维风荷载组合系数推荐值。结果表明:对于超高层建筑,虽然不同方向风荷载效应之间相关系数可能很低,但其三维风荷载效应极值相关性不可忽略;以横风向或扭转向为主方向进行组合时,其余方向同步比值存在明显的非高斯分布特性;对于不同长宽比超高层建筑,其极值相关性的差异会导致组合系数存在差别,在确定风荷载组合方法时,应考虑长宽比的影响。
  • 郭增伟, 袁航, 时浩博
    建筑结构学报. 2020, 41(02): 92-98. https://doi.org/10.14006/j.jzjgxb.2018.0457
    摘要 ( ) PDF全文 ( )   可视化   收藏
    针对目前结构风工程中风速特性统计分析均采用固定时距且不考虑统计时距内平均风速变化的假定,以三峡库区青草背长江大桥及舟山西堠门大桥桥址处实测风速资料为对象,采用罚函数对比法探讨了以风速样本均值和方差作为风速序列突变判据的时距划分方法,对比分析了风速样本的稳定时距的峰度、偏度、概型分布等统计特性。通过研究发现:采用P-variance方法得到的风速序列稳定时距远大于P-mean方法,风速平均值的波动趋势明显快于表征风速脉动能量的风速根方差的变化;基于罚函数对比法计算得到的风速稳定时距呈现出明显的正偏态分布特征,且Weibull分布可以较好地拟合风速稳定时距;采用罚函数对比法P-mean算法得到西堠门大桥桥址风场的风速稳定时距为569s,与规范中600s的计算时距非常接近,在一定程度上为规范600s时距的取值提供了依据,也证明了罚函数对比法在计算平均风速统计时距上的合理性;相比于传统10min固定时距,基于罚函数对比法的可变时距下风速序列的顺风向紊流强度和阵风因子的标准差均有不同程度的下降。
  • 于淼, 彭德刚, 李敬生, 翟慎会, 展艳艳, 邢源, 陈翰林, 赵林, 葛耀君
    建筑结构学报. 2020, 41(02): 99-106. https://doi.org/10.14006/j.jzjgxb.2018.0475
    摘要 ( ) PDF全文 ( )   可视化   收藏
    通过风洞试验、结构有限元分析和结构配筋设计计算,对某八塔组合冷却塔工程进行系统分析,通过内力加权的方法整合荷载模式多样性的影响,提出以内力加权为准则的冷却塔结构安全评定准则。获得了冷却塔结构空间和时间尺度动态配筋及其包络配筋结果,并与现行规范基于单塔配筋结果进行对比。研究表明,风的脉动效应不可忽略,在配筋层面可以看出其影响不只存在于迎风面,对侧风面与背风面也有显著影响。群塔干扰对塔下部的影响大于对上部的影响,在冷却塔的设计中全塔选择统一的群塔干扰系数与风振系数是不合理的。
  • 空间结构
  • 王玮, 邓华
    建筑结构学报. 2020, 41(02): 107-114. https://doi.org/10.14006/j.jzjgxb.2018.0392
    摘要 ( ) PDF全文 ( )   可视化   收藏
    基于机构协调条件,给出了攀达穹顶从安装面到设计构型作最短距离运动的刚体位移方向求解方法。进行正交变化,将求得的刚体位移方向转化为系统机构位移模态矩阵的主向量。以驱动系统沿刚体位移方向运动,同时以保证系统维持足够的几何稳定性为目标,讨论顶升杆的布置问题。数学上将顶升杆的增加描述为对攀达穹顶所有机构位移模态对应的零特征值的正扰动。对应于攀达穹顶的刚体位移方向(主机构位移模态向量),由节点下方设置的顶升杆对其特征值的扰动最大确定该顶升杆的方向。对比扰动量的大小,可定量评价在不同节点设置顶升杆的优劣。对刚体运动路径上较多的代表性构型开展相同的分析,可确定布置顶升杆的最佳节点区域。针对一个双层网格攀达穹顶算例进行计算,以上策略能够有效得出该算例的顶升杆布置方式。
  • 朱钊辰, 罗永峰, 曲扬, 黄青隆
    建筑结构学报. 2020, 41(02): 115-124. https://doi.org/10.14006/j.jzjgxb.2018.0591
    摘要 ( ) PDF全文 ( )   可视化   收藏
    为得到网壳结构在动力荷载作用下的精确响应,应建立能够同时模拟受拉强化和受压屈曲的精细化构件模型。基于滞回模型耗能相等原则,建立轴向受力带缺陷构件的等效Marshall模型。通过参数分析,研究截面参数、初弯曲幅值、材料屈服后弹模折减系数和长细比等构件基本参数对等效Marshall模型各系数的影响,并给出各控制系数的计算公式。对一个缩尺K6网壳模型进行振动台试验和有限元模拟分析,结果表明:基于等效Marshall模型的精细化构件单元可以准确模拟构件受力状态的动态变化过程,其残余位移计算结果与试验结果的平均误差为13%,优于传统Marshall模型计算结果,满足实际工程应用的精度;此外,采用未考虑构件初弯曲的构件模型将高估网壳模型的实际承载力。
  • 赵中伟, 吴谨伽, 刘海卿, 羡丽娜
    建筑结构学报. 2020, 41(02): 125-133. https://doi.org/10.14006/j.jzjgxb.2018.0530
    摘要 ( ) PDF全文 ( )   可视化   收藏
    找形是树状结构研究的关键问题之一,为此,首先提出了基于双单元数值模型的找形迭代程序,并利用已有研究结果对所提出方法进行了验证,计算结果表明利用该方法所得到的树状结构形态在给定荷载作用下只受到轴力。在此基础上,基于欧拉稳定压杆理论,对树状结构各分支的几何长度进行了优化,在保证各个构件只受到轴力的同时,确保整体结构的稳定承载力最大化。研究结果表明,所提的找形优化方法可以精确考虑平面及空间树状结构各个构件计算长度系数和截面特性对稳定性的影响,计算效率高,可为复杂树状结构的找形优化工作奠定理论基础。
  • 李会军, 王超, 肖姚
    建筑结构学报. 2020, 41(02): 134-141. https://doi.org/10.14006/j.jzjgxb.2018.0115
    摘要 ( ) PDF全文 ( )   可视化   收藏
    单层球面网壳属于缺陷敏感性结构,其稳定承载能力受各种缺陷影响。为量化节点位置安装偏差缺陷、杆件对节点的偏心缺陷及其二者耦合作用对网壳稳定承载力的影响程度,对1000个随机产生的K6型单层球面网壳展开深入研究。首先提出了能够考虑随机节点安装偏差、随机杆件偏心的力学模型,然后阐述了两种随机缺陷在数值计算中的实现方法,最后获得了不同大小的节点安装偏差、杆件偏心距对单层网壳稳定承载力的影响程度与规律。计算结果表明:节点安装偏差对网壳极限荷载的影响更为显著,杆件偏心对极限荷载的影响相对较小;当节点安装偏差较小时,杆件偏心对网壳极限荷载的影响更为显著;节点安装偏差相同时,杆件偏心越大,网壳极限荷载越小。当最大节点安装偏差R1=2cm、最大杆件偏心R2=10mm时,缺陷网壳的极限荷载较理想网壳平均下降了10.94%;当R1=4cm、R2=10mm时,极限荷载平均下降了16.43%。
  • 常乐, 李瑞峰, 李志伟
    建筑结构学报. 2020, 41(02): 142-148. https://doi.org/10.14006/j.jzjgxb.2018.0106
    摘要 ( ) PDF全文 ( )   可视化   收藏
    大跨钢结构卸载阶段是拆除支撑体系、结构成形内力重分布的过程,是施工的关键步骤。以大同美术馆钢结构屋盖施工卸载为例,介绍了一种能够保障施工卸载安全的监测技术。首先通过数值模拟,分析对比了同步卸载与不同步卸载两种方案,并考虑了温度作用对钢结构的影响,确定了卸载方案及监测方案,进而对卸载阶段结构的应力、变形及温度进行实时监测,确保施工卸载阶段的安全。监测结果表明,大跨钢结构应力受温度影响较大,考虑温度影响的计算值更趋近于实测值,故温度影响不能忽视。结构卸载后应力与变形需要一段时间才能趋于稳定,因此监测周期建议延长。卸载完成后大部分应力监测值小于或接近计算值,卸载过程中应力变化明显,卸载后应力趋于稳定,保证了卸载过程结构屋盖的安全。
  • 基础理论与共性技术
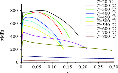
  • 李国强, 黄雷, 张超
    建筑结构学报. 2020, 41(02): 149-156. https://doi.org/10.14006/j.jzjgxb.2017.0236
    摘要 ( ) PDF全文 ( )   可视化   收藏
    通过国产Q690高强钢的稳态试验研究,得到20~800℃下钢材的试验现象、应力-应变关系曲线、力学性能参数,并将所得试验结果与相关规范和已有研究进行比较。研究发现:随温度升高,试验后钢材表面及断口形貌区别明显,应力-应变关系曲线的初始线弹性段缩短、极限应力对应应变减小、下降段趋于平缓;弹性模量、屈服强度和抗拉强度等力学性能指标随温度升高而降低;而断后伸长率在200~500℃时相较于常温值有小幅度下降,600℃后明显增加;当温度低于500℃时,不同名义屈服强度折减系数之间存在较大差异。目前已有研究建议的钢材高温力学性能模型并不适用于Q690高强钢,通过试验结果拟合得到了高温下Q690钢力学性能模型,以期用于Q690钢材的钢结构抗火安全评估与设计。
  • 陈华霆, 谭平, 彭凌云, 苏经宇, 周福霖
    建筑结构学报. 2020, 41(02): 157-165. https://doi.org/10.14006/j.jzjgxb.2018.0672
    摘要 ( ) PDF全文 ( )   可视化   收藏
    针对适用于非经典阻尼体系的复振型叠加方法,基于理论推导,得到了评价振型贡献程度的复振型质量参与系数,并给出了两种等效的表达形式,可作为评估非经典阻尼系统所需振型数量的一种方法。同时,根据复振型退化为实振型的条件(即实部与虚部成比例关系),论证了实、复振型质量参与系数法的统一性。实、复振型质量参与系数基于相同的原理和假定,具有相同的物理意义,易于工程设计人员掌握和使用。采用典型的减隔震系统数值算例和安装黏滞阻尼器的9层钢结构Benchmark模型对复振型质量参与系数方法进行了验证,结果表明该方法能够有效估计所需振型数量。但是由于实、复振型质量参与系数法是基于基底剪力推导而得到,当用于评估加速度响应所需振型时,其数量往往偏小。
  • 张元海, 何嘉祥, 王晨光, 黄洪猛
    建筑结构学报. 2020, 41(02): 166-172. https://doi.org/10.14006/j.jzjgxb.2018.0154
    摘要 ( ) PDF全文 ( )   可视化   收藏
    从薄壁微元体的纵向平衡出发,分析开闭混合断面薄壁梁约束扭转二次剪力流的传递和分布规律,提出了开闭混合断面薄壁梁约束扭转二次剪力流的分解计算方法,数值算例验证了该方法的合理性。引入反映二次剪应力对总剪应力影响程度的剪应力系数,结合悬臂梁数值算例,详细分析悬臂板宽度变化对剪应力系数和二次扭矩的影响规律。研究结果表明:开闭混合断面薄壁梁约束扭转时在腹板内产生很大的剪应力,当悬臂板宽度与闭合箱室宽度之比约为0.4时,腹板中点处剪应力系数可达到最大值2.8;悬臂板在约束扭转中承受很大的二次扭矩,甚至会等于闭合箱室承受的二次扭矩;对于箱室高宽比较大的薄壁梁,当悬臂板宽度与闭合箱室宽度之比约为0.7时,悬臂板承受二次扭矩的作用可得到充分发挥。
  • 邓文琴, 毛泽亮, 刘朵, 张建东
    建筑结构学报. 2020, 41(02): 173-181. https://doi.org/10.14006/j.jzjgxb.2017.0462
    摘要 ( ) PDF全文 ( )   可视化   收藏
    为研究单箱三室波形钢腹板箱梁悬臂状态下的扭转与畸变性能,以乌曼斯基第二理论和箱梁理论为基础,考虑了波形钢腹板的褶皱效应对箱梁纵向刚度的影响,推导了单箱三室波形钢腹板悬臂梁扭转与畸变微分方程,并采用初参数法及弹性地基梁比拟法求解了约束扭转和畸变产生的翘曲正应力和剪应力计算式。通过1片单箱三室波形钢腹板双悬臂梁进行了偏载和对称加载试验,验证了扭转与畸变翘曲应力计算公式的正确性。最后,利用推导的理论模型,分析了梁高、箱室宽度及波形钢腹板厚度等参数对偏载作用下单箱三室波形钢腹板组合箱梁截面翘曲应力的影响。研究结果表明:提出的理论计算公式可用于准确计算单箱三室波形钢腹板悬臂梁扭转与畸变效应;悬臂梁翘曲正应力主要由畸变变形引起,而约束扭转主要产生翘曲剪应力,且悬臂梁扭转和畸变产生的翘曲正应力值和剪应力值与弯曲正应力和剪应力的比值较大,因此,单箱三室波形钢腹板悬臂状态下扭转和畸变产生的翘曲正应力和剪应力不可忽略;梁高和箱室宽度对单箱三室波形钢腹板的翘曲应力影响较为显著,波形钢腹板厚度对其几乎没影响。
  • 李兆峰, 牛忠荣, 丁仕洪, 方继, 王利亚
    建筑结构学报. 2020, 41(02): 182-190. https://doi.org/10.14006/j.jzjgxb.2017.0442
    摘要 ( ) PDF全文 ( )   可视化   收藏
    石家庄与济南客运专线济南黄河公路和铁路两用特大型桥为公铁两用桥,其采用刚性悬索加劲弦钢桁梁的结构形式和钢桁梁带加劲弦顶推滑移施工技术。选取该桥施工中受力最大的典型节点进行现场应力试验。对节点可能出现较大应力的区域布置应力传感器,现场监测节点在不利施工工况下的应力,并将试验结果与有限元分析结果进行对比。试验分析结果表明,在千斤顶起顶过程中,由于实际起顶位置与原定起顶位置存在一定偏差,以及三片桁架并不完全同步起顶等施工原因,从而导致在千斤顶起顶工况下某些节点局部区域应力水平短时间内较高,在最不利施工工况下,试验节点的测点最大实测应力值达329MPa,接近材料的屈服强度330MPa,节点整体应力状态满足结构强度要求。